摘要
本文在数字经济快速发展和稳外资压力不断增加的双重背景下,以“宽带中国”试点政策作为数字基础设施建设的准自然实验,基于 2005~2021 年我国 281 个地级市面板数据,采用 PSM-DID 方法探讨数字基础设施建设对城市外资吸引力的影响效应及其内在机制。结果显示,以“宽带中国”试点政策为代表的数字基础设施建设产生了显著的外资吸引效应,扩大市场规模、驱动技术创新和提升产业集聚是数字基础设施建设作用于城市外资吸引力的中间渠道。进一步分析发现,数字基础设施建设对高技术制造业和高技术服务业的外资吸引力也产生了显著的促进作用,进而有利于外资结构的优化升级。需要注意的是,数字基础设施建设的外资吸引效应主要源自对存量外资退出的缓解作用,且不同批次试点政策对城市外资吸引力的积极效应呈现出递减规律。本文不仅为政府进一步加强数字基础设施建设提供了支持证据,而且为新形势和新挑战之下稳外资目标的实现提供了有益思路。
关键词
Abstract
Against the background of rapid development of the digital economy and the mounting pressure to stabilize foreign direct investment (FDI), this paper leverages the “Broadband China” pilot policy as a quasi-natural experiment of digital infrastructure construction. Based on panel data from 281 cities in China from 2005 to 2021, we employ a combination of the difference-in-differences (DID) method and propensity score matching (PSM) to investigate the impact of digital infrastructure construction on city-level FDI attractiveness and the underline mechanisms. The results show that the digital infrastructure construction, represented by the “Broadband China” pilot policy, has produced a significant effect in attracting FDI. Expanding market size, driving technological innovation, and enhancing industrial agglomeration are the intermediate channels through which digital infrastructure construction affects FDI attractiveness. Further analysis indicates that digital infrastructure construction has also significantly promoted the attractiveness of FDI in high-tech manufacturing and high-tech service industries, thereby facilitating the optimization and upgrading of the FDI structure. It is noteworthy that the effect of digital infrastructure on attracting FDI is primarily derived from its capacity to mitigate the divestment of foreign capital. Additionally, the positive impact of pilot policy on the attractiveness of FDI exhibits a diminishing trend in different batches. This paper not only provides supportive evidence for the government to augment its efforts in digital infrastructure construction but also offers valuable implications for achieving the goal of stabilizing FDI amidst new circumstances and challenges.
一、 引言
在发达国家密集出台制造业回流计划、中美贸易摩擦、逆全球化舆论升温、传统引资优势减弱等国内外不利因素的干扰之下,我国吸引和利用外资面临更加严峻复杂的形势。以习近平同志为核心的党中央高度重视稳外资工作,多次在中央经济工作会议、政府工作报告等明确提出“促进外贸外资稳中提质”。2024年3月,国务院办公厅印发《扎实推进高水平对外开放更大力度吸引和利用外资行动方案》,进一步为我国提升外资吸引力作出了战略部署,各级政府在该文件指导之下制定了吸引和利用外资的专项方案。稳定外资基本盘已然成为新形势下加快构建双循环新发展格局、推动实现经济高质量发展的关键任务。因此,如何吸引新增外资进入、缓解存量外资退出是当前我国稳外资工作面临的重要挑战。既有研究普遍认为以高铁为代表的传统基础设施建设对城市吸引外资产生了显著的促进作用(Shahbaz et al.,2021;Bono et al.,2022)。近年来我国基础设施建设的重心由传统基础设施建设转向以5G、大数据中心、人工智能、工业互联网为代表的新型基础设施建设,已建成全球规模最大、技术水平领先的数字基础设施,成为稳投资、促升级的支撑力量。那么,在数字化浪潮下迅速发展的新型基础设施是否也能为城市吸引外资赋能?其内在的影响机制是什么?上述问题均有待进一步深入探究。
与数字基础设施建设的外资吸引效应相关的文献有三类。第一类文献讨论了数字基础设施建设的经济效应,证实了其在助力经济高质量增长(Makridis & Mishra, 2022;张涛和李均超,2023)、提高资源配置效率(Acemoglu & Restrepo,2018; Tang & Zhao,2023)、推动产业结构升级(郭凯明等,2020;Wang & Li,2024)、驱动创新创业(张杰和付奎,2021;Rukanova et al.,2023;Du & Wang,2024)、促进对外贸易发展(Malgouyres et al.,2021)等方面的积极作用。第二类文献研究了外资进入退出决策的影响因素,并对可能的稳外资路径进行了有益探索。其中,劳动力等要素成本的攀升被认为是外资撤离我国市场的关键诱因(严兵和郭少宇,2022; Mao et al.,2024),而产业集聚水平的提升(方慧等,2021;邓峰等,2022)、制度型红利的释放(万源星等,2022)、上游产业配套的完善(陈钊和张卓韧,2023) 是现阶段实现稳外资目标的重要抓手。第三类文献是关于数字基础设施建设的指标选取。“宽带中国”试点政策作为数字基础设施建设的里程碑事件,在扩大网络覆盖面、提高上网体验速率等方面成效显著,是强化城市数字基础设施建设的重中之重。大部分研究均将“宽带中国”试点政策作为准自然实验,以此识别数字基础设施建设的影响效应(焦豪等,2023;方福前等,2023;Hong et al.,2023)。
上述研究为本文奠定了基础,但仍然存在两点局限:一是忽视了数字基础设施建设对城市吸引外资的影响,由数字基础设施建设构筑的竞争优势能否成为稳外资的重要动能尚未可知;二是既有文献大多基于外资进入或外资退出单一维度分析城市外资吸引力,而当前政府招商引资的重点不仅包括吸引新增外资进入,也包括缓解存量外资退出。鉴于此,本文将外资吸引力定义为吸引外资进入并持续生存的能力,首先从理论层面剖析数字基础设施建设影响城市外资吸引力的内在机理,然后借助工商注册大数据构建城市外资吸引力指标,以“宽带中国”试点政策为准自然实验,采用倾向得分匹配(PSM)和双重差分(DID)相结合的方法识别数字基础设施建设的外资吸引效应,并对其作用机制和影响特征进行检验。
本文具有以下三点边际贡献:第一,现有文献从宏微观层面集中探讨了数字基础设施建设对经济增长、产业结构升级、技术创新、出口贸易等方面的影响,但鲜有研究从外资流动视角分析数字基础设施建设的经济效应。本文不仅搭建了数字基础设施建设对城市外资吸引力的理论分析框架,并且以“宽带中国”战略为切入点实证检验了数字基础设施建设的外资吸引效应,既拓展了基础设施建设的经济效应研究,也补充了外资流动的影响因素分析。第二,现有文献对城市外资吸引力的测度并不系统,而本文则借助2005~2021年中国工商注册企业进入与退出数据,在兼顾增量外资和存量外资的情况下综合构建城市外资吸引力指标,打破了既有外资流动文献的单一分析范式,有利于得到更为全面科学的研究结论。第三,本文发现数字基础设施建设产生了显著的外资吸引效应,并且这种积极效应主要源自对存量外资退出的缓解作用。这一结论为深入推进以“宽带中国”试点政策为代表的数字基础设施建设提供了事实依据,也为稳定外资基本盘提供了新的思路参考。
二、 政策背景与机制分析
(一) 政策背景
数字基础设施涉及光纤宽带、5G网络、大数据中心等多个领域,这些领域的发展均需要宽带网络提供有效的技术支撑。因此,我国政府高度重视宽带网络的建设,将其视为数字基础设施建设的核心战略引擎,陆续出台了系列方针和政策推动宽带网络基础设施建设。2013年8月国务院印发了《“宽带中国”战略及实施方案》,对未来8年的宽带发展路径进行了部署,明确提出我国将通过地区试点的方式,逐步推动宽带基础设施的快速健康发展。随后,工业和信息化部、国家发展和改革委员会于2014年遴选出北京、上海、广州等39个城市(群)作为首批“宽带中国”试点城市(群),并于2015年和2016年进一步遴选出78个城市(群)作为第二批和第三批 “宽带中国”试点城市(群)。“宽带中国”试点城市围绕推进区域网络协调发展、加快宽带网络结构优化升级、提高宽带网络应用水平、促进网络产业链不断完善、增强宽带网络安全保障能力五个方面的重点任务,开展以互联网为核心的新型基础设施建设,缩小与发达国家数字基础设施发展水平之间的差距。2020年,中国信息通信研究院对“宽带中国”试点政策的效果进行了评估,同年10月发布了《中国宽带发展白皮书》。该白皮书指出,经过全面提速、推广普及、优化升级三个发展阶段的持续努力,“宽带中国”试点政策推动我国高速宽带网络建设实现了跨越式发展,不仅促成了城乡光纤网络的全面覆盖和移动宽带普及率的显著增加,而且大幅度提高了用户实际上网的体验速率。同时,宽带信息应用加速向经济、文化、民生等领域渗透,成为新时期社会经济发展不可或缺的助力。
本文以“宽带中国”试点政策为准自然实验分析数字基础设施建设的外资吸引效应,主要有以下两点原因:第一,在目标驱动与政策倾向的双重影响下,“宽带中国” 战略的实施通过提高宽带接入能力,显著提升了试点城市的数字基础设施建设水平,为评估数字基础设施建设的政策效果提供了良好契机;第二,以焦豪等(2023)、方福前等(2023)、Hong et al.(2023)为代表的研究也以“宽带中国”试点政策为代理变量,对数字基础设施建设的影响效应展开实证分析。综上所述,本文以“宽带中国”试点政策衡量城市数字基础设施建设,具有扎实的现实依据和理论基础。
(二) 机制分析
本文从地区市场规模、创新能力和地方化产业集聚三方面分析数字基础设施建设对城市外资吸引力的影响机制。
1. 市场规模扩张效应
数字基础设施主要从供给和需求两端影响国内市场规模。从供给端来看,数字基础设施建设一方面能够通过优化资源配置实现生产效率提升和规模经济效应,进而有利于扩大国内市场规模与范围(Acemoglu & Restrepo,2018;Tang & Zhao, 2023);另一方面,对于厂商而言,在依托数字基础设施拓宽产品销售范围的同时也将面临更为激烈的产品竞争,有利于发挥优胜劣汰竞争机制,提高企业产品供给能力(逯海勇等,2023)。从需求端看,数字基础设施建设不仅催生了新的消费业态和消费模式,而且倒逼居民消费结构升级,由此带动国内消费需求规模扩张和结构优化(Ross & Blumenstein,2015;Wang & Li,2024)。同时,新型数字基础设施建设的过程中也不断创造出新的投资需求和多样化的投资渠道,并且能够畅通区域间资本要素的自由流动和高效配置,是促成全国统一大市场的关键力量(刘秉镰等, 2025)。更为重要的是,数字基础设施建设使得各地能够利用云计算、大数据等新兴技术,促使市场中供需双方在更大的范围内进行高效精准匹配,提高市场运行效率,推动国内市场一体化进程和超大规模市场优势的构建(赵涛等,2020;Donaldson, 2022)。
本土市场规模对吸引外商投资特别是市场寻求型外商投资具有重要意义。从外资进入看,超大规模市场优势是当前我国双循环背景下的国际竞争新型区位优势,其展现出来的国内市场潜力和统一大市场对外资新企业进入具有较强的吸引力。从外资退出看,我国超大规模市场具有一定的韧性优势,通过打破区域贸易壁垒实现劳动力、资本等要素的最优配置,不仅能够助力外资企业快速适应国内市场,而且有利于外资企业在东中西不同区域自由流动,提高存量外资在华经营的稳定性和持续性。
2. 创新驱动效应
数字基础设施对积累和集聚创新要素至关重要,既可以通过拓宽创新主体范围、缩小创新活动供需双方“信息鸿沟”、增强城际创新合作直接提高城市创新水平,也能通过提升人力资本、推动产业升级间接促进城市创新。
从直接影响看,第一,由数字基础设施建设带来的知识搜寻和传递成本、交易成本和生产成本的下降,能够显著降低市场主体参与创新活动的门槛(Lee et al., 2016;Goldfarb & Tucker,2019)。同时,数字化平台的建设为创新主体提供了技术和服务支撑,推动不同主体间的动态知识交流和技术传播,从而提高中小企业、科研院所等主体参与创新活动的积极性(Siaw & Sarpong,2021)。第二,数字基础设施建设可以凭借人工智能、区块链、大数据等前沿数字技术破除供需双方之间的信息错位“症结”,使得创新主体更容易感知市场需求,通过开展“自下而上”的客户导向型创新活动降低研发投入的沉没风险,进而提高创新资源配置效率并加速创新成果的市场化(Paunov & Rollo,2016;Rukanova et al.,2023)。第三,数字基础设施建设打破了信息交流的时空约束,促进了知识资本和创新要素在不同区域之间的转移和流动,不仅能够通过降低协调成本增强城市间创新合作的可能性,而且可以通过资源共享和分工深化拓展城际创新合作的范围(张涛和李均超,2023)。
从间接影响看,一方面,伴随数字基础设施建设产生的多样化、平等化、便捷化的社会交互模式加快了不同区域之间的人才流动,而高技能人才的流入是城市保持竞争优势和创新活力的重要手段(Campante et al.,2018;焦豪等,2023)。另一方面,数字技术的广泛使用在改造传统产业的同时也使得高附加值、高技术含量的新兴产业不断涌现,进而有利于产业结构的优化升级,且由此带来的新产品、新技术研发需求能够直接推动研发投入和研发活动的增加(Iansiti & Lakhani,2014;Du & Wang,2024)。
城市技术创新水平的提升对吸引外资进入具有重要影响。一方面,依据知识基础观可知,在知识存量丰富的地区开展生产经营活动能够有效补充跨国公司的现有技术,因此由数字基础设施建设形成的科技创新优势对于外资企业而言具有较强的吸引力(万源星等,2022)。另一方面,城市技术创新水平的提升可能会形成“回路效应”,即本土企业研发创新能力的提升对外资企业产生一定程度的“示范效应”,进而对外资进入具有积极作用(聂飞和刘海云,2019)。另外,近年来我国引资结构不断优化升级,引资重点逐步转向现代服务业和高新技术产业,这些高质量外资更加关注流入地的创新能力,以期为其落户和发展提供坚实的技术和人才支撑。因此,数字基础设施建设能够通过提高区域技术创新水平,进而对城市外资吸引力产生积极作用。
3. 产业集聚效应
数字基础设施建设主要通过政策红利的牵引、网络集聚模式的形成、交易成本和生产成本的降低为地方产业集聚提供较强的向心力。
第一,以“宽带中国”试点为代表的数字基础设施建设方案往往伴随着大量的创新补贴、税收减免等政策红利,通过加剧“政策洼地效应”的形成,进而推动大量中高端生产性服务业和高新技术企业在地理空间上集聚(张杰和付奎,2021;Makridis & Mishra,2022)。同时,由数字基础设施建设催生的新一代信息技术产业的发展,能够对周边区域产业产生“虹吸效应”,吸引一定范围内资本、劳动力等生产要素流入,进而促进产业协同和集聚发展(Hong & Fu,2011)。第二,数字基础设施的快速发展使得越来越多的产业突破地理空间限制,通过共享网络平台在虚拟空间进行分工协作和集聚,形成共同发展、互相竞争的产业专业化和多样化虚拟集聚(王如玉等,2018)。第三,交易成本和生产成本始终是影响产业集聚的关键因素(Hanson, 2005)。数字基础设施建设能够通过加速知识技术扩散、缓解交易双方信息不对称问题、增强产业关联与融合降低交易成本和生产成本,从而实现规模报酬递增,吸引周边企业进驻形成产业集聚(安同良和杨晨,2020;Malgouyres et al.,2021)。
产业集聚作为地区经济发展的重要支撑,对城市外资吸引力有着不可忽视的作用,不仅影响新增外资的区位选择,同时也是存量外资企业退出决策的影响因素之一。具体地,从外资进入来看,产业集聚形成的区位优势能够通过改善营商环境、降低边际生产成本、优化资源配置效率,对外资进入形成明显的吸引力(方慧等,2021)。从外资退出来看,产业集聚能够通过关联效应和配套效应提高外资退出的沉没成本,由此强化了外资企业在东道国深耕业务的持续性(邓峰等,2022)。因此,数字基础设施建设能够通过提高地方产业集聚水平,进而对城市外资吸引力产生积极影响。据此,本文提出如下研究假设:
假设1:数字基础设施建设有利于城市外资吸引力的提升。
假设2:数字基础设施建设主要通过影响区域市场规模、技术创新和产业集聚,进而对城市外资吸引力产生作用。
三、 研究设计与数据说明
(一) 研究设计
考虑到“宽带中国”试点城市的入选可能存在一定的选择性偏误,本文首先采用 PSM方法缓解实验组和对照组之间特征差异的潜在干扰。匹配之后,对照组城市理论上应该与实验组城市在外资吸引力方面不存在明显差异。因此,对照组城市可以构成实验组城市的“反事实组”,有助于观测未入选政策试点时城市的外资吸引力。根据现有文献,PSM方法和DID方法的结合能够有效控制可观测变量和不可观测变量对估计结果的影响。因此,本文进一步采用DID方法对经过PSM预处理之后的观测样本进行估计,进而获得“宽带中国”试点政策对城市外资吸引力的平均处理效应。
1. PSM 处理
PSM预处理时,首先选择城市经济发展水平(PGDP)、产业结构(Indstruc)、劳动力成本(Laborcost)、交通基础设施(Infrastr)、存量外商投资(CFDI)、固定资产投资(Fix)6个特征变量作为协变量,将是否为“宽带中国”试点城市的虚拟变量与协变量进行Logit 回归进而获得倾向得分值,然后利用半径匹配法为实验组城市筛选出配对的对照组城市。表1给出了PSM对应的平衡性检验结果,可知匹配后各协变量在实验组和对照组之间不存在显著的差异,且标准化偏差均小于5%,表明试点城市和非试点城市之间的可比性得到了较大幅度的提升。
表1平衡性检验结果
2. DID 模型
基于PSM之后的新样本,本文运用DID方法评估以“宽带中国”试点政策为代表的数字基础设施建设对城市外资吸引力的影响效应。考虑到该政策于2014年至2016 年在全国117个城市分三批进行,参考方福前等(2023)的研究,构建如下渐进DID 模型:
(1)
式(1)中,被解释变量FDIit为t年i城市的外资吸引力,从引进增量外资和留住存量外资两方面构建综合指标进行测度。Broadbandit为“宽带中国”试点政策虚拟变量,作为数字基础设施建设的代表性外生冲击,是本文的核心解释变量。若城市i在第t年入选“宽带中国”试点城市,Broadbandit变量在t年及后续的样本观测期内均取值为1,其余年份取值为0。Controlsit为城市层面可能会影响外资吸引力的控制变量。μi 和 θt 为个体固定效应和时间固定效应,εit为模型的随机误差项。
(二) 变量设置
1. 被解释变量
参考严兵和郭少宇(2022)的研究,从吸引增量外资和留住存量外资两方面切入,将地区外资吸引力定义为能够吸引外资进入并生存下去的能力,采用各城市外资企业进入数量的对数值与退出数量的对数值之差进行衡量。
2. 核心解释变量
本文在方福前等(2023)和Hong et al.(2023)的研究基础上,根据各城市在不同时间入选“宽带中国”试点设置政策虚拟变量Broadbandit,以此代表数字基础设施建设的推进程度。对于入选“宽带中国”政策试点的城市,Broadbandit在当年及样本观测期内的后续年份均取值为1,否则为0;对于未入选“宽带中国”政策试点的城市,Broadbandit在样本观测期内均赋值为0。
3. 控制变量
本文选取了7个城市层面的控制变量:经济发展水平(PGDP),采用人均GDP 的对数值衡量;产业结构(Indstruc),采用第三产业增加值与第二产业增加值的比值衡量;劳动力成本(Laborcost),采用各城市最低月工资的对数值衡量;对外开放程度(Open),采用进出口总额占GDP的比值衡量;固定资产投资(Fix),采用固定资产投资额占GDP的比值衡量;工业化水平(Industrial),采用工业增加值占GDP的比值衡量;教育科技支出(Edusci),采用教育科技支出之和占政府财政支出的比值衡量。
(三) 数据说明
本文所用的“宽带中国”政策试点城市名单数据来源于工信部官网,用于构造外资吸引力指标的外资企业进入和退出相关信息来源于CnOpenData数据库,城市层面控制变量主要来源于《中国城市统计年鉴》。本文对合并后的样本数据作如下处理:一是删除关键变量存在严重缺失的样本;二是采用插值法对部分缺失数据进行填补。
在进行上述处理之后,获得2005~2021年我国281个地级市共计4753个样本观测值。经过PSM处理之后,106个实验组城市找到了合适的对照组,此时实验组样本观测值数量为1708个,对照组样本观测值为2910个,所以DID估计的样本观测值共计 4618个。表2汇报了各变量的描述性统计信息。
表2主要变量说明与描述性统计
四、 实证结果
(一) 基准回归结果
表3汇报了采用PSM预处理的新样本得到的基准DID估计结果。第(1)列中未纳入任何控制变量,仅加入了核心解释变量“宽带中国”试点政策、城市固定效应和时间固定效应,结果显示Broadband的估计系数为0.2048,且在1%的水平上显著。第(2)列中加入了控制变量,核心解释变量的估计系数为0.2031,同样通过了1% 水平上的显著性检验。就经济意义而言,基准回归结果说明以“宽带中国”试点政策为代表的数字基础设施建设使得城市外资吸引力提高20.31%,具有较为显著的经济学意义。因此,综合基准回归结果可以初步认为,“宽带中国”试点政策显著提升了城市的外资吸引力,进一步凸显了数字基础设施建设的重要性。
表3基准回归估计结果
注:括号内为t值;***、**、*分别表示在1%、 5%、10%水平上显著。以下各表同。
DID方法能够有效识别因果关系的一个重要前提是满足平行趋势假设。为验证上述研究结论是否符合DID模型的平行趋势假设,本文借鉴事件分析法的思路,构建如下动态模型:
(2)
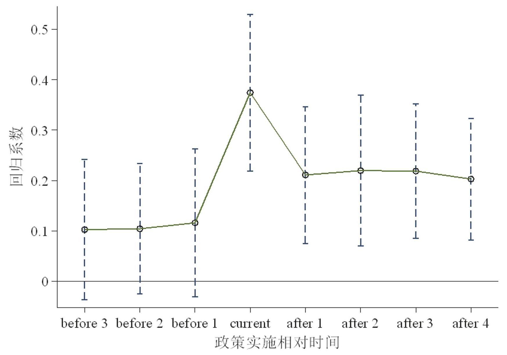
式(2)中,γt为本文重点关注的估计系数,反映了“宽带中国”试点政策实施前的三年和实施后的四年对城市外资吸引力的影响效应,其余变量的定义与基准模型(1)保持一致。图1绘制了系数γt及其90%的置信区间。可以观察到,在政策实施之前,试点城市和非试点城市的外资吸引力并不存在显著差异,而在政策实施之后,试点城市和非试点城市的外资吸引力呈现出显著的差异化特征。因此,数据分析结果与平行趋势假设一致,能够采用 DID方法识别“宽带中国”试点政策对城市外资吸引力的影响效应。
图1平行趋势假设检验结果
(二) 稳健性检验
1. 安慰剂检验
本文借助安慰剂检验以反事实方式确认“宽带中国”试点政策提高城市外资吸引力的稳健性。具体而言,首先在观测样本中随机分配试点城市和非试点城市,进而构造虚假实验组和对照组,然后根据政策试点时间生成虚假的政策虚拟变量Broadband,按照式(1) 进行2000次的模拟回归,观察估计系数均值是否接近于0。
图2汇报了2000次安慰剂检验中估计系数的核密度分布情况,可以观察到,虚假的估计系数集中于0值两侧之间,与基准回归得到的估计系数 (0.2031)相距甚远。表4进一步汇报了随机产生的虚假的估计系数的统计分布信息,结果显示其均值为0.00138,t统计量和p统计量的均值分别为 0.03897、0.49193,表明虚假处理效应非常小且在统计上不显著。因此,上述结果共同说明“宽带中国”试点政策确实具有一定的外资吸引效应,证实了基准回归结果的可靠性。
图22000 次安慰剂检验结果
表4虚假实验组反事实检验结果
2. 排除其他政策影响
在“宽带中国”试点政策推行的同时还存在一些影响城市吸引外资的其他政策,特别是“一带一路”倡议和自由贸易试验区设立政策,可能会对基准回归结果的准确性产生影响。对此,本文进行了如下处理:第一,排除“一带一路”倡议的影响。参考现有文献的普遍做法确定“一带一路”核心城市,将其从样本中删除进而形成新的观测样本,然后重新对基准模型(1)进行估计,结果如表5第(1)列所示, Broadband的估计系数的数值和显著性水平相较于基准回归结果并未发生实质性变化。第二,排除自由贸易试验区设立的影响。根据商务部官网公布的自由贸易试验区名单,剔除设有自由贸易试验区的城市样本,对新样本重新进行DID估计,结果如表5第(2)列所示,核心解释变量的估计系数同样显著为正。因此,在排除同期其他引资政策的影响之后,“宽带中国” 试点政策仍然显著提高了城市的外资吸引力。
表5排除同期其他政策检验结果
3. 工具变量估计
为进一步讨论内生性问题,本文首先参照黄群慧等(2019)的研究,采用1984年各城市每百万人邮局数量作为“宽带中国”试点政策选址的工具变量,估计结果如表6第(1)至(3)列所示。从中可以观察到,列(1)中工具变量的估计系数未通过显著性检验,表明工具变量具有一定的外生性。列(2)和列(3)报告了采用两阶段最小二乘法(2SLS)实现工具变量估计的检验结果。其中,第(3)列中工具变量估计的第二阶段结果显示,Broadband变量的系数显著为正,表明“宽带中国”试点政策对城市外资吸引力仍然存在显著的提升作用。第(2)列为工具变量估计的第一阶段结果,显示工具变量的系数在1%水平上显著为正,这表明工具变量与核心解释变量之间存在显著的正相关关系,即工具变量满足相关性要求。同时,用于检验弱工具变量的相应F统计量的值为27.20,远大于弱工具变量的临界值10,意味着不存在弱工具变量问题。此外,以刘传明和马青山(2020)为代表的部分研究基于地理视角构造了数字基础设施建设的工具变量,本文也借鉴其做法将地形起伏度作为“宽带中国”试点政策选址的工具变量,估计结果如表6第(4)至(6)列所示。结果同样显示,以“宽带中国”试点政策为代表的数字基础设施建设对城市外资吸引力产生了显著的积极效应。
表6工具变量估计结果
(三) 作用机制检验
理论分析中提出数字基础设施建设主要通过扩大市场规模、驱动技术创新、提高产业集聚水平影响城市外资吸引力,为检验市场规模扩张效应、创新驱动效应、产业集聚效应的存在性,本部分构建如下模型:
(3)
式(3)中,Mit为机制变量。其中,市场规模扩张效应的检验以地区市场规模作为机制变量,借鉴蔡海亚和徐盈之(2017)的思路,采用城市人均社会零售消费总额衡量各城市的市场规模。创新驱动效应的检验以城市创新能力作为机制变量,参考谢呈阳和胡汉辉(2020)的研究,采用《中国城市和产业创新力报告》中的创新指数对创新能力进行测度。产业集聚效应的检验以地区产业集聚水平作为机制变量,选取现有研究普遍使用的区位熵来衡量。
表7汇报了作用机制检验的回归结果。第(1)列的被解释变量为地区市场规模,核心解释变量的估计系数为 0.5608,通过了1%水平上的显著性检验,表明“宽带中国”试点政策显著促进了市场规模的扩张。第(2)列和第 (3)列的被解释变量为城市创新能力和产业集聚水平,核心解释变量的估计系数均显著为正,意味着“宽带中国” 试点政策对城市创新能力和产业集聚也产生了显著的积极效应。
表7作用机制检验结果
因此,市场规模扩张效应、创新驱动效应、产业集聚效应是以“宽带中国”试点政策为代表的数字基础设施建设影响城市外资吸引力的中间渠道。
五、 拓展分析
(一) 外资结构转型
高技术制造业和高技术服务业的外资吸引工作是近年的政策焦点,对实现外资结构转型升级具有重要意义。本部分进一步从高技术产业外资吸引的视角,探讨数字基础设施建设能否成为外资结构转型升级的关键动能。一方面,参考国家统计局发布的 《高技术产业(制造业)分类2017》和既有研究的普遍做法,从样本中筛选出高技术制造业,结合其外资企业进入退出数据构造各城市高技术制造业外资吸引力指标。表8第(1)行列示了“宽带中国”试点政策对城市高技术制造业外资吸引力的影响,结果显示Broadband的估计系数显著为正,表明数字基础设施建设显著提升了城市对于高技术制造业外资的吸引力。另一方面,基于《高技术产业(服务业)分类2018》的分类标准和既有文献的普遍做法,将样本中的科学研究和技术服务业以及信息传输、软件和信息技术服务业定义为高技术服务业,进而构造各城市高技术服务业外资吸引力指标。表8第(2)行汇报了“宽带中国”试点政策对城市高技术服务业外资吸引力的影响,结果同样表明数字基础设施建设显著提高了城市对于高技术服务业外资的吸引力。
表8拓展分析结果Ⅰ
(二) 吸引外资进入或缓解外资退出
本文构造的外资吸引力指标同时考虑了新增外资的进入和存量外资的退出,那么由数字基础设施建设带来的外资吸引力提升到底是源自吸引新增外资进入还是缓解存量外资退出?为了解答这一问题,本文进一步将被解释变量拆解为外资进入和外资退出两个方面。其中,外资进入采用各城市外资企业进入数量的对数值衡量,外资退出采用各城市外资企业退出数量的对数值衡量。表8第(3)列汇报了“宽带中国”试点政策对城市外资进入的影响,结果显示Broadband的估计系数符号方向与基准回归一致,但未通过显著性检验,表明数字基础设施建设未引起城市新增外资企业数量显著增加。表8第(4)列汇报了“宽带中国”试点政策对城市外资退出的影响,核心解释变量的估计系数为-0.1573,在1%水平上显著,意味着数字基础设施建设能够显著缓解城市存量外资企业的退出。因此,“宽带中国”试点政策带来的外资吸引效应主要通过抑制存量外资企业的退出而实现。
(三) 不同批次试点政策效果
“宽带中国”试点城市于2014、2015、2016年分三批遴选,第一批试点城市大多位于东南沿海经济发达地区,第二批和第三批试点城市则主要集中于经济实力相对偏弱的中西部地区。那么,不同批次试点政策的外资吸引效应是否存在异质性?为此,本文依次检验了不同批次“宽带中国”试点政策对城市外资吸引力的影响。具体地,从样本中剔除2015年和2016年的试点城市,仅保留2014年的试点城市作为实验组,将渐进DID模型转化为传统DID模型重新进行因果识别,结果如表9第(1)列所示,Broadband的估计系数在1%水平上显著为正,且系数值高于基准回归结果。表9第 (2)列汇报了仅考虑2015年试点城市的估计结果,可以观察到核心解释变量估计系数的数值大小和显著性水平相较于基准回归出现了下降,但符号方向并未发生实质性变化。表9第(3)列汇报了仅考虑2016年试点城市的估计结果,同样显示政策虚拟变量的估计系数为正,但是估计系数的数值大小和显著性水平均出现了较大程度的下降。综合表9的回归结果可以推断,不同批次 “宽带中国”试点政策的外资吸引效应存在显著差异,第一批次试点政策对城市外资吸引力的影响最为明显,第二批次和第三批次试点政策对城市外资吸引力的影响依次减弱。
表9拓展分析结果Ⅱ
六、 结论与启示
本文以“宽带中国”试点政策为准自然实验,采用PSM-DID方法探究了数字基础设施建设对城市外资吸引力的影响效应及其内在机制。主要结论如下:第一,以 “宽带中国”试点政策为代表的数字基础设施建设对城市外资吸引力产生了显著的积极效应。第二,试点政策主要通过扩大市场规模、驱动技术创新、提高产业集聚水平三条路径带动城市外资吸引力的显著提升。第三,试点政策对于城市吸引高技术制造业和服务业也产生了显著的正面影响,有利于实现外资吸引和利用结构的优化升级。第四,试点政策的外资吸引效应主要源自其对存量外资退出的缓解作用。第五,不同批次试点政策的外资吸引效应存在较大差异,第一批次试点政策对城市外资吸引力的影响最为显著。
结合上述研究结论,本文提出如下政策建议:第一,进一步扩大“宽带中国”试点政策的覆盖范围,重视和支持地方政府持续推进5G网络、大数据、人工智能等数字基础设施建设,充分发挥新型基础设施在培育引资关键动能和孕育未来产业中的驱动效应。第二,数字基础设施的外资吸引效应主要来自大规模市场优势及创新能力、产业集聚的提升。因此,不仅要利用数字基础设施建设推进全国统一大市场进程,也要依托其带来的技术红利整合创新资源、搭建创新平台,还要引导数字创新型重点企业、重点项目打造集聚式发展模式,构筑产业链协同集聚新型区位优势吸引外资进入。第三,数字基础设施建设有助于促进高技术制造业和服务业吸引外资,而高技术制造业和服务业是近年来的引资重点,也是实现外资结构转型升级的关键所在。这启示地方政府要利用好我国在数字基础设施建设方面的比较优势,积极发展上游配套产业和延伸产业链条,逐步实现引资结构和外资利用结构由成本和政策导向型转向技术和市场导向型。第四,相较于第一批次试点城市,第二批次和第三批次的“宽带中国”试点城市产生的外资吸引效应发生了显著衰减,主要因为首批试点城市大多位于东部沿海地区,而后续批次试点城市大多位于中西部地区。因此,应该结合地区资源禀赋和发展需求实施差异化、动态化的试点政策,东部地区数字基础设施建设重心在网络升级和应用创新,专注关键领域、薄弱环节的技术突破。中西部地区具有数据与算力成本较低的比较优势,在提高网络覆盖率和加速传统产业数字化进程的同时,应以“东数西算”为牵引,适度超前布局数据中心、5G等新一代数字基础设施,打造面向全国的重要算力枢纽。
需要指出的是,本文也存在不足之处。首先,数字经济的不断发展将衍生出新的基础设施建设模式和重点,而其对城市吸引外资的影响效应和作用机制也可能随之变化。因此,未来研究应持续关注和追踪数字基础设施建设对城市外资吸引的经济效应。其次,本文重点关注了数字基础设施建设对城市外资吸引力的直接影响,数字基础设施建设也可能对邻近城市吸引外资产生溢出效应,有待未来研究进一步探究。最后,囿于数据限制,本文未能从来源地、投资类型等视角分析数字基础设施建设的外资吸引效应,未来研究在数据可得的情况下应详细讨论数字基础设施建设对城市外资吸引力的异质性影响,以期提供更有针对性的政策建议。