摘要
包容性增长一直以来是中非共同利益和愿景的交集,是未来发展的重要方向。本文基于中非境外经贸合作区设立这一准自然实验,以世界经济论坛提出的包容性增长指标体系为基础,探究合作区设立与东道国包容性增长的因果关系。研究发现,合作区设立具有显著的包容性增长效应,该结论在平行趋势检验、双重机器学习等稳健性检验中均成立。合作区的包容性增长效应在北部非洲、收入水平较高、不平等程度较高、文化距离较低的国家中更加明显,尤其是通过考核的合作区以及由国企主导投资的合作区。进一步地,合作区与东道国特征因素的协同效应检验显示,制度质量与合作区存在联动效应,而自然资源未显现此效应;利用 Oaxaca-Blinder 模型对包容性增长进行分解发现,“多园区组” 的布局使得包容性增长更快。研究结果为合作区成为非洲经济增长和减贫新引擎提供经验证据,也对中非共同推动包容性增长具有重要启示。
Abstract
Inclusive growth has always been the intersection of China and Africa’s common interests and visions, and is an important direction for future development. Based on the quasi-natural experiment of the establishment of the China-Africa Overseas Economic and Trade Cooperation Zone, this paper explores the causal relationship between the establishment of the cooperation zone and the inclusive growth of the host country based on the inclusive growth index system proposed by the World Economic Forum. The study found that the establishment of the cooperation zone has a significant inclusive growth effect, which is established in robustness tests such as parallel trend test and dual machine learning. The inclusive growth effect of cooperation zones is more obvious in northern Africa, countries with high income levels, high inequality and low cultural distance, especially in cooperation zones that pass assessments and cooperation zones that are invested by state-owned enterprises. Further, the synergistic effect test of the characteristic factors of the cooperation zone and the host country shows that there is a linkage effect between the quality of the system and the cooperation zone, while the natural resources do not show this effect; by using the Oaxaca-Blinder model to decompose the inclusive growth, it is found that the layout of “multi-park group” makes the inclusive growth faster. The research results provide empirical evidence for the cooperative zone to become a new engine of economic growth and poverty reduction in Africa, and also have important implications for China and Africa to jointly promote inclusive growth.
一、 引言
“包容性增长”是亚洲开发银行于2007年提出的理念,其核心内容是倡导社会公平正义,寻求经济、社会、生态的平衡与可持续增长。该理念认为,由于社会中存在不平等、贫困等问题,考虑低收入阶层平等机会的包容性增长指标成为评估经济增长的更佳选择。尽管包容性增长是相对新兴的理念,但它比以往任何时候都被认为与非洲相关(Ngepah,2017),是非洲国家亟须解决的重大挑战。例如,2019年联合国非洲经济委员会发布的报告指出,全球经济增长强劲、大宗商品价格高企会促使非洲经济增长率持续走高,但这种增长并没有使所有群体受益。考虑到不同收入群体之间存在较大差距,非洲地区包容性增长水平较低。与此同时,包容性增长一直以来是中非共同利益和愿景的交集:2014年第24届世界经济论坛非洲峰会,中国发表 “促进包容性增长,创造就业机会”的重要讲话;《中非合作论坛—达喀尔行动计划 (2022-2024)》中明确指出,中方致力于支持非洲包容性增长,以实现非洲2063年成为世界第三大经济体的愿望;《中非合作2035年愿景》进一步提出,中非持续开展多种形式创造就业和减贫经验交流,中国支持非洲提高扶贫减贫能力,完善教育、供水、电力等民生设施,提升城镇化水平,实现包容性增长。
关于包容性增长的理解、界定及如何实现一直是重要议题。包容性增长理念由益贫式增长理念演变而来。后者只关注贫困线以下群体,注重将经济增长的馅饼增量进行公平分配,而包容性增长关注每一位个体的福利状况,同时致力于改善最弱势群体。世界银行将包容性增长解释为“在减贫的同时提供向上流动的机会和保障全民经济安全”。非洲开发银行将包容性增长定义为“使更多的人、地区或国家更广泛地获得可持续的经济社会机会,同时保护弱势群体”的经济增长模式。在学术界,学者们也意识到以往采用人均GDP等衡量经济增长缺乏全面性,认为增长机会可能更多地被高收入阶层所利用(Ali & Son,2007),从而更关注于包容性增长。虽然现有文献未能对包容性增长形成权威定义,但学者们普遍认可其内涵为:平等机会的增长 (Ali & Son,2007)、兼顾“效率”和“公平”(邓荣荣和吴云峰,2023)。即,包容性增长同时涵盖“经济增长”和“包容性”两个目标。
对于如何实现包容性增长,中国的实践经验表明,具有典型外部性基础设施的发展、对外开放、持续高效的投资、城镇化及产业发展是包容性增长的重要因素(陈红蕾和覃伟芳,2014;胡育蓉和齐结斌,2016;张勋和万广华,2016;范建双等, 2018;傅利福等,2021)。进一步具体至如何帮助非洲实现包容性增长,中国在第 24届世界经济论坛非洲峰会上指出,中国对非基础设施建设、投资、贸易及技术分享等均是重要推力。长期以来,中非境外经贸合作区聚集投资、贸易、承包工程、援助与技术合作,是中非合作的重要载体及中国向世界分享发展经验的重要窗口。合作区帮助非洲弥补基础设施建设资金、技术、管理缺口和推动工业化发展,具有明显的投资效应、贸易效应和结构转型效应(Alves & Lee,2022;严兵等,2021;张晨霞等,2025)。因此,中非境外经贸合作区可能是中国帮助非洲国家实现包容性增长的重要因素。也有学者对此表示担忧,认为合作区缺乏系统评估方案,也未建立完善的退出机制(詹晓宁和李婧,2021);合作区数量与东道国经济增长存在不协调现象。为此,在中非共筑包容性增长理念,携手打造高水平命运共同体的背景下,探讨中非境外经贸合作区能否切实提升非洲地区的包容性增长至关重要。然而,目前鲜有合作区包容性增长效应的相关研究。
本文边际贡献如下:第一,本文从经济增长和包容性两个视角衡量包容性增长,全面反映合作区对包容性增长不同方面的影响,为评估中非包容性增长共同愿景与行动提供理论指导和实证依据;第二,本文基于交错DID模型,综合运用DID有效性检验、双重机器学习等方法排除自选择效应,尽可能地为理论假说提供经验支持。第三,通过检验合作区与东道国特征因素的协同效应,有效回应关于“自然资源掠夺” 等合作区建设动机的质疑。现有文献对合作区的作用评价不一,甚至出现资源掠夺、制度损害等指责和担忧,本文立足非洲国家的研究,旨在有力回击这些负面论调,揭示合作区的真实贡献与价值。此外,本文还运用Oaxaca-Blinder模型对包容性增长贡献度进行分解,揭示合作区数量对包容性增长的差异性影响,进一步探讨多园区建设对包容性增长可能产生的合力效果。
二、 理论机制与研究假说
(一) 合作区对包容性增长的影响
中非境外经贸合作区帮助非洲地区低收入人群获得就业机会,提高当地的全要素生产率,促进东道国产业结构转型,减缓经济不平等现象,为东道国包容性增长奠定基础。据此,合作区主要通过两个方面对非洲国家包容性增长产生影响。一方面,入驻企业通过对当地劳动力进行技能培训,提高当地的人力资本水平,使当地劳动力获得更实质性的竞争力和更高的收入,从而使更多的当地劳动力获得参与生产活动和经济增长过程的机会。同时,合作区带来的就业规模扩大可以增加当地财政收入,促使东道国政府提供有利于减贫的公共服务(牛华等,2024),从而确保不同群体能够公平分享经济增长的成果。另一方面,合作区给东道国带来技术进步,激发创新活力,促进母国向东道国进行技术转让,从而对东道国的全要素生产率产生积极影响。而全要素生产率的提升能够强化东道国生产能力和消费能力,推动其加入中国主导的全球价值链体系,从而提升东道国包容性增长。据此,本文提出以下假说:
假说1:中非境外经贸合作区具有显著的包容性增长效应。
(二) 合作区对包容性增长的影响机制
中非境外经贸合作区本质上是中国政府与资源互补的非洲国家谈判签订相关政策支持协议后,由非洲国家在限定区域内提供关税减免或零关税等贸易优惠政策的特殊区域。这种政府扶持下的合作区,增加入驻企业与非洲国家博弈的话语权(严兵等, 2021)。入驻企业可以充分利用东道国的廉价劳动力和资源优势,降低生产成本。成本优势使得企业能够生产更多种类的产品,并将这些产品出口到国际市场。同时,合作区通常享有东道国和母国的政策支持,包括税收优惠、贸易便利化措施等。这些政策支持降低企业的运营成本,提高贸易效率,从而促进出口产品种类增加和贸易结构优化。上述贸易方面的变化一方面通过降低关税改善贸易条件,间接增加贫困人口的收入;另一方面,推进企业不断竞争和创新,改变贸易结构,促进人均收入增加和经济增长。此外,合作区促进中非在电信、信息等方面的服务贸易持续深化,并在数字经济、绿色环保等领域展现出广泛的合作潜力。这些领域的合作往往惠及小微企业、妇女等群体,为包容性增长开辟新的机会。因此,合作区通过专业化生产创造贸易,促使更多群体参与贸易福利分配,从而对包容性增长产生积极影响。据此,本文提出以下假说:
假说2:中非境外经贸合作区通过贸易创造促进东道国包容性增长。
中非境外经贸合作区降低国内企业在非洲投资的风险,助推国内资本流向非洲。合作区建立不仅推动中国政府和东道国政府制定租金、税收和投资准入等一系列投资优惠政策,还为企业提供必要的财政支持(Chen,2019),降低企业的经营风险。作为一种制度安排,合作区推动中国政府构建完善的投融资支撑体系,鼓励国内金融机构在非洲国家建立分支机构,并优先为入驻企业提供投融资服务,从而缓解入驻企业的融资困难,帮助企业规避财务风险(Ding,2017)。上述风险的降低将提高企业抗风险能力和运营效率,促进企业组团到非洲投资。从理论角度看,资本流入在促进合作区产业集聚和刺激经济增长方面具有不可忽视的作用,而刺激经济的政策选择与资源配置紧密相关,充足资源配置可以促进公平就业、完善制度,从而使低收入群体能够分享更多的增长机会。类似地,入驻企业进入采掘业、制造业和建筑业等行业,为东道国经济发展、增加全球价值链参与度提供机会,促进全部群体的福利增长和改善,进而实现包容性增长。因此,合作区通过促进资本流入,促使民众获得更多机会,从而对包容性增长产生积极影响。据此,本文提出以下假说:
假说3:中非境外经贸合作区通过资本流入促进东道国包容性增长。
中非境外经贸合作区均位于发展中国家,其中约70%的合作区位于最不发达国家。这些非洲国家面临着严峻的基础设施不完善问题,如电力短缺、交通基础设施缺乏、通信网络建设落后等,已制约其工业化进程和经济发展(刘晨和葛顺奇, 2019)。而合作区的建设加强中国与非洲国家在基础设施方面合作,提升合作区所在国的基建水平。为满足东道国的基建需求,开发企业在园区建设初期不仅推进办公室、员工宿舍、一站式服务中心、公共设施等配套基础设施建设,更是满足合作区所在国五通一平(通路、通信、通排水、通电、通给水、平整土地)等方面的基建需求;与此同时,合作区还为非洲国家带来基础设施发展所需的资金与技术,例如商务部设立“境外贸易合作区发展基金”、商务部牵头邀请东道国相关官员到中国实地考察等。而基础设施是非洲国家包容性增长的关键驱动力这一观点被学者们广泛认可 (Ali & Yao,2004)。基础设施通过促进要素集聚,推动园区内外的劳动力流动,促使企业打造更具吸引力的薪酬体系,增加劳动者收入。因此,合作区通过完善基础设施,对包容性增长产生积极影响。据此,本文提出以下假说:
假说4:中非境外经贸合作区通过基础设施建设促进东道国包容性增长。
根据新经济地理学,海外园区的发展将催生一个特定的产业集群,而产业集群的过程可通过经济要素的优化配置产生集聚效应,有助于推动技术外溢和提升工业化水平(刘晨和葛顺奇,2019)。工业部门作为技术、资本密集型产业,其发展能够促使劳动力从低生产率的农业和非正规部门向高生产率部门转移,并伴随显著的技术溢出效应。合作区通过技术转让、示范与学习,推动非洲国家工业化水平提升。技术外溢在此过程中至关重要,不仅促进产业结构调整升级,还降低收入不平等,这对非洲国家实现包容性增长至关重要(Moshi,2014)。Baymul & Sen(2019)的研究证实了这一点,从农业到制造业的结构转型有利于低收入群体,且不平等程度会大幅降低。此外,工业化进程将增加非洲的自主创新能力和非洲在全球制造业生产中的份额,缩小其与世界的经济差距,从而有助于非洲国家实现包容性增长。据此,合作区有利于形成产业集聚,推动技术外溢和提升非洲国家工业化水平,从而对非洲国家包容性增长产生积极影响。据此,本文提出以下假说:
假说5:中非境外经贸合作区通过提升工业化水平促进东道国包容性增长。
三、 研究设计
(一) 计量模型
本文设定虚拟变量treatit,以设立合作区的国家作为处理组(treatit=1),反之则作为控制组(treatit=0)。进一步地,设定年份虚拟变量postit,合作区开始建立当年及以后设定postit=1,反之设定postit=0。交互项treatit×postit是合作区建立之后的国家虚拟变量,设定CACZit=treatit×postit。基准回归模型如下:
(1)
式中,被解释变量IDIit表示非洲国家i在t年的包容性增长。核心解释变量CACZit为二元变量,α1是本文重点关注的系数。控制变量Xit表示影响非洲国家包容性增长且随国家i和年份t变动的因素。ui 表示国家固定效应,用于控制不随年份变动但影响东道国包容性增长的个体因素;vt 表示年份固定效应,用于控制影响所有个体的时间因素; εit为随机扰动项。
(二) 变量和数据
1.被解释变量:包容性增长(IDIit)。本文选择构建指标体系开展综合评价的方法度量包容性增长,并采用熵值法进行测算。
在指标选取方面,国内外学者对包容性增长有三种界定:最狭义关注贫困人口收入提高,狭义加入公平分配,广义则涵盖环境质量、机会平等和政治包容性等。广义界定在指标选择和权重上存在分歧,且数据获取和跨经济体较难。因此,本文参考世界经济论坛的包容性增长指标体系和大多数文献的做法(牛华等,2024;Ofori & Asongu,2021),基于狭义定义,从经济增长与包容性双维度构建包容性增长指标体系(表1)。具体而言:在经济增长维度,人均GDP和预期寿命反映家庭的经济保障和生活质量提升;劳动生产率是衡量技术进步的精准指标,有效补充传统经济增长指标在质量评估上的不足;就业水平则通过就业人口占比来量化,对增强经济增长的包容性至关重要。在社会包容性维度(IDI_inc)上,借鉴牛华等(2024)、黄梅波和王婕佳(2024)的研究,从收入分配(净收入基尼系数、市场收入基尼系数)和贫困 (贫困率、最低10%占有的收入份额、人类发展指标)两个维度进行量化分析。值得注意的是,正向指标(如收入份额、人类发展指数等)用于展示进步和成就,负向指标(如基尼系数、贫困率等)侧重于揭示问题,正负指标的共同使用有助于更全面地评估社会包容性的现状和发展趋势。
表1包容性增长指标体系
2.核心解释变量:中非境外经贸合作区(CACZ)。本文核心解释变量是中非境外经贸合作区,当非洲国家i在t年建立合作区时,赋值为1,反之为0。区别于贸易活动,合作区从达成意向到开始建设是一个更为复杂的过程,从前期的达成意向、政策协调与审批,到建设前的区位选址、园区规划、投融资模式选择、土地开发等,往往需要数月到数年的时间间隔。开始建设时间标志着合作区正式启动,大规模的基础设施建设、招商引资工作产生经济效应,对包容性增长具有明显的积极影响。同时,相关的经济数据(如投资规模、主导企业、主导产业等)更容易被记录和统计。因此,本文选择合作区实际开始建设时间为合作区建立时间。
3.控制变量。固定资产总额(fixed),采用固定资产总额与GDP之比衡量。劳动力(labor),采用劳动力人口的对数作为代理指标。人口规模(pop),采用人口总数的对数表示。人均GDP、就业率是测算包容性增长中的经济增长维度的基础指标。人力资本(edu),采用中学入学率来衡量。工业增加值(ind),采用工业增加值与GDP之比衡量。产业合理化(ra),参考干春晖等(2011)的研究思路,基于泰尔指数对产业平衡状态进行评估,该数值越接近0,表明产业结构越合理。人均耗电量(ele)和移动电话用户(phone)均采用其对数作为代理变量。城镇人口比率 (cityrate),采用城镇人口占总人口比例表示。制度质量(inst),采用世界治理指数中的政府效率、监管质量等6项指标的平均值作为代理指标,用于控制制度质量对包容性增长的影响。
4.数据说明。本文使用2002~2018年非洲49个国家的面板数据考察合作区的包容性增长效应。包容性增长指标体系中的人均GDP、就业、预期寿命、贫困率、最低 10%占有的收入份额五个基础指标来源于世界发展指标数据库(WDI);劳动生产率来源于佩恩表(PWT10.1)数据;净收入基尼系数、市场收入基尼系数来源于世界收入不平等标准化数据库(SWIID);人类发展指数来源于联合国开发计划署。中非境外经贸合作区信息以商务部、中国国际贸易促进委员会、中国机电产品进出口商会的官网信息为基础,参考李祜梅等(2019)提供的合作区数据,并进一步剔除在样本期间内无明确开园信息或终止经营的合作区样本,最终整理形成中国企业在17个非洲国家建设47家合作区的数据。制度质量来源于世界治理指标数据库(WGI),其他控制变量均来源于世界发展指标数据库。①
四、 计量结果与分析
(一) 基准结果
表2报告了基准估计结果。第(1)、(4)列报告了标准误聚类在国家层面的结果,可以发现,合作区估计系数均显著为正,表明合作区对东道国经济增长、社会包容性分别产生了3.2%、2.9%的积极影响。考虑到非洲国家之间的潜在依存性,替换稳健标准误至区域层面聚类(第(2)、(5)列),相关结果未发生变化。此外,为进一步避免不可观测变量对实证结果的影响,参考韩超和陈震(2023)的研究,将被解释变量残差作为因变量进行回归(第(3)、(6)列),估计系数与之前类似。上述结果验证研究假说1,即合作区建立不仅促进经济增长,还提升弱势群体参与和共享经济增长成果的机会,实现包容性增长。
表2基准回归结果
注:括号内数值表示聚类标准误,*、**、***分别表示在10%、5%、1%的水平上具有统计显著性。后表同。
(二) DID 有效性检验
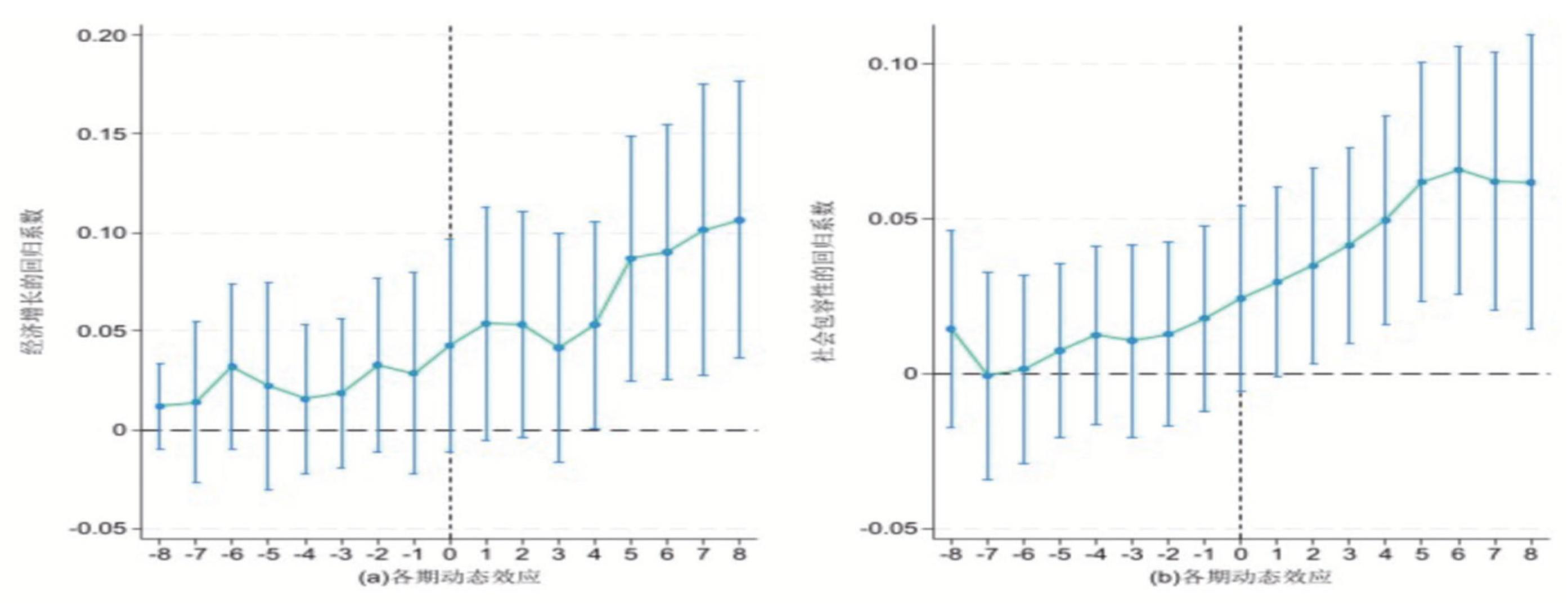
1.平行趋势检验与动态效应分析。DID模型成立的条件是符合平行趋势假定。基于此,本文采用事件分析法检验合作区建立前后,东道国经济增长与社会包容性的变化趋势,并对各期动态效应进行分析,具体方程如下:

(2)
其中,CACZpre_j代表合作区开始建设的前j年;CACZcurrent代表合作区开始建设的当年;CACZpost_j代表合作区开始建设的后j年。αpre_j、αcurrent、αpost_j分别为对应的影响系数。如果系数αpre_j在0值附近且置信区间包含0轴(即未通过显著性检验),意味着经济增长与社会包容性在合作区建立之前的时间趋势是一致的,符合平行趋势假定;同时,如果系数αpost_j大于0且置信区间未含0轴,意味着合作区存在显著的包容性增长效应,不仅促进经济增长,还提高社会包容性。其余符号含义与基准模型式(1)一致。
图1绘制了合作区影响经济增长和社会包容性的各期动态效应和相对应的95%置信区间。首先,在合作区在建立前的8年内,经济增长和社会包容性的估计系数均在 0值附近且置信区间包含0轴,满足平行趋势检验。其次,在合作区建立之后,经济增长和社会包容性的估计系数均逐渐通过5%的显著性检验。综上,平行趋势检验确保了基准回归结果的可靠性。
2.安慰剂检验。首先,对样本内非洲国家和合作区建设年份进行随机抽样,每次抽取17个非洲国家及其对应的合作区建设年份,将抽中的非洲国家作为虚拟处理组,其余样本作为虚拟控制组。其次,将上述随机抽样过程重复500次,得到500个回归估计系数。图2报告经济增长与社会包容性的安慰剂检验分布情况。从中可知,基于非参置换检验方法产生的交互项系数大多接近于0,明显不同于位于右尾位置的基准回归估计系数,这表明合作区建立具有显著的经济增长效应和社会包容性效应,排除了其他未知因素对合作区政策效应的影响。
图1经济增长与社会包容性的平行趋势检验
图2经济增长与社会包容性的安慰剂效果分布
(三) 稳健性检验
1. 倾向得分匹配双重差分检验。考虑到合作区建立并非是完全的“自然实验”,即样本数据仍可能存在自选择问题。本部分进一步采用倾向得分匹配双重差分 (PSM-DID)进行稳健性检验。相比截面PSM,逐年PSM能够避免不同年份的样本匹配问题,更适合本文应用。估计结果如表3第(1)~(2)列所示。从中可以看到,无论是经济增长还是社会包容性,合作区建立的估计系数仍显著为正,表明合作区的包容性增长效应是稳健的。
2. 双重机器学习。双重机器学习模型通过引入正则项并在辅助方程中再次使用机器学习的方法,弥补传统模型“维度诅咒”、控制变量有限和多重共线性等方面的局限,从而降低模型设定偏差或者误设风险(张涛等,2023)。基于此,本部分通过双重机器学习方法对合作区建立的包容性增长效应进行再次评估。考虑到套索算法可同时执行变量选择和正则化,能够应用于各种线性模型;神经网络算法可更好地拟合变量之间的非线性关系,本部分使用套索算法和神经网络算法进行稳健性检验,回归结果见表3第(3)~(6)列。可以看出,双重机器学习模型的估计系数至少在5%的水平上通过显著性检验,佐证基准回归结果的稳健性。
3. 内生性分析。本文使用的样本数据可能存在反向因果和遗漏变量等内生性问题。具体而言,第一,东道国的包容性增长可能反向影响中国是否在其建立合作区的选择;第二,基准模型可能遗漏某些影响东道国包容性增长和合作区设立的未知因素,从而造成估计偏误。为此,借鉴Bun & Harrison(2019)的做法,将外地供给冲击与本地经济暴露于外部冲击概率相结合,采用中国财政支出与非洲各国在样本观察期内接受中国在其建设合作区的概率的交互项,作为综合工具变量,①用来衡量中国在非建设合作区项目的实际支持力度和各东道国接受合作区项目建设可能性的综合影响。该做法背后的逻辑是,合作区作为中国对非的超级援助(林毅夫和王燕, 2016),其援助费用通常被视为中国财政支出的一部分(孙楚仁等,2022),且中国对考核通过的合作区也采取财政补贴政策。因此境外合作区建设与中国财政支出呈正相关。同时,设立合作区概率高的非洲国家,也会因为获得更多援助而与中国双边关系更友好,从而更容易接受中国在其设立合作区,满足工具变量的相关性要求。另一方面,中国财政支出或东道国接受中国在其设立合作区的概率不会直接作用于非洲包容性增长水平,满足外生性要求。
表3第(7)和(8)列汇报了两阶段最小二乘法(2SLS)估计结果。首先,合作区的估计系数均显著为正这一核心结论未改变。其次,工具变量显著为正,且Kleibergen-Paap rk LM检验在5%的水平上拒绝了工具变量不可识别的原假设;Cragg-Donald Wald F统计量大于Stock-Yogo检验在15%水平上的临界值; Anderson-Rubin Wald检验拒绝原假设,均表明工具变量不存在弱识别问题,工具变量的选择是合适的。可以看出,回归结果验证本文的研究结论。
表3稳健性检验:PSM-DID、双重机器学习和内生性分析
注:基于双重机器学习模型的回归未提供拟合优度,[]内数值表示统计量的p值,{}内数值为Stock-Yogo检验在15%水平上的临界值。
(四) 异质性检验
1. 区域异质性。以撒哈拉沙漠为界限设置虚拟变量,将撒哈拉以南非洲国家取值为1,反之为0,考察合作区政策是否因非洲国家区域不同而呈现异质性效果。表4第(1)~(2)列展示回归结果。CACZ×sanan估计系数为负,表明合作区设立对北部非洲的经济增长和社会包容性具有更好的拉动作用。此外,本文还进行非洲5个区域 (北非、西非、中非、南非和东非)的异质性检验,①发现合作区仍显著促进北部非洲的包容性增长。北非在经济实力、教育水平方面相对优越,有助于推动资本流入和技术溢出,促进包容性增长。
2. 收入异质性。根据世界银行的划分标准,各经济体按人均收入可分为高收入、中高收入、中低收入和低收入经济体。本部分根据此标准设置虚拟变量,将中高及以上收入经济体赋值为1,反之为0。结果见表4第(3)~(4)列。CACZ×income估计系数至少在5%的水平上显著为正,表明合作区显著提升中高收入及以上国家的包容性增长效应。相比中低收入及以下国家,中高收入及以上国家有着更为稳定有序的融资、政策环境,这确保合作区能够健康持续运营,从而推动双边本币互换,拓展低收入人群金融准入渠道(Tchamyou,2019),使其享有多样化的金融服务,从而改善其生活水平。
3. 不平等水平异质性。本部分按照净收入基尼系数的中位数,将非洲国家分为低于和高于中位数两组,高于中位数的组别赋值为1,反之为0。结果见表4第(5)~(6)列。CACZ×gini系数显著为正,表明合作区对不平等程度较高国家的包容性增长促进作用更强。现有文献指出,经济增长水平越高,不平等现象越严重(Jaspars, 2018),特别是精英型政府治理下的国家更为显著。而合作区的设立提升就业和人力资本,帮助当地劳动力更好地应对负面社会冲击,缩小收入差距,从而对包容性增长产生积极影响。
4. 文化距离异质性。本部分按照文化距离(culdis)的中位数,将非洲国家分为低于和高于中位数两组,低于中位数的组别赋值为1,反之为0。该数据来源于 Hofstede文化维度数据库。结果见表4第(7)~(8)列。CACZ×culdis系数为正,表明合作区对文化距离小的非洲国家包容性增长促进作用更强。考虑到中国与东道国在文化上的差异,中国企业在非洲投资会面临障碍。然而,在与中国文化距离较小的国家中,合作区能够有效降低运营风险(吕越等,2019),促进经贸合作和民心相通,从而对包容性增长产生积极影响。
表4区域、收入、不平等和文化距离异质性检验结果
5. 合作区异质性与主导企业异质性。本部分将合作区分为通过考核、尚未通过考核两种类型,将合作区主导企业分为国企、民企两种类型,以考察合作区设立的包容性增长效应是否具有差异性。表5第(1)~(4)列汇报了通过考核、未通过考核园区的估计结果。表5第(5)~(8)列汇报了主导企业分别为国企、民企的估计结果。从合作区异质性角度看,通过考核的合作区估计系数更大、更显著,表明其对东道国包容性增长的影响更明显、更稳定。通过考核的园区有着更完备的基础设施建设、更强的配套服务功能、更广阔的贸易拓展空间,能够促进东道国经济增长,并通过创造就业使东道国经济增长更具亲民性。从企业异质性角度看,主导企业为国企的合作区估计系数显著为正,意味着国企主导建设的园区对包容性增长的影响更为显著。可能的原因是,国企抗风险能力强,运营成本压力较小,融资门槛较低,这促使国企主导建设的园区更注重品牌建设、发展规划和可持续发展,从而更能促进东道国包容性增长。
表5合作区和企业异质性检验结果
(五) 机制检验
借鉴严兵等(2021)的研究,本部分通过构建传导链条,探究合作区如何通过影响中间机制来促进东道国包容性增长。
1. 合作区的贸易创造效应。根据前文所述,包容性增长的实现离不开贸易,而提高贸易和减少贸易摩擦是合作区建立初始主要目标之一。因此,合作区建设扩大贸易规模,可能直接促进包容性增长,即存在贸易创造效应。本部分采用东道国与所有国家贸易额(trade)、东道国与中国的贸易总额(tradechina)作为贸易总量的代理变量;采用净易货贸易条件指数(term)、商品贸易占比(str)分别作为贸易条件、贸易结构的代理变量,检验合作区的贸易创造效应。上述数据分别来自国家统计局和 WDI数据库。表6第(1)~(4)列的估计结果表明,合作区提升东道国对外贸易,改善贸易条件,增加商品出口竞争力,从而促进包容性增长。
2. 合作区的资本流入效应。合作区作为中国企业“组团”赴海外进行投资的平台,聚集大量来自中国的直接投资,同时合作区作为平台也会吸引部分外资、合资企业入驻。充足资金、资源高效配置无疑是东道国实现包容性增长的必要条件,特别是在发展资金严重短缺的非洲国家。那么,合作区的资本流入效应是否显著存在? 本部分通过实证检验回答这一问题。采用外商直接流入(fdi)、中国对非投资流量 (fdichina)作为代理变量,表6第(5)~(6)列的估计结果表明,合作区能够吸引大量投资进而实现包容性增长,且这种投资主要来自中国。
3. 合作区对基础设施的影响。合作区是中国分享发展经验的窗口,其快速完善基础设施建设的前提是基于中国经济腾飞和社会包容性提升的经验。完善的基础设施不仅能为国家发展提供持续动力,更能通过提升市场可及性,赋能弱势群体,为其创造与收入相关的机会。本部分采用非洲开发银行提供的非洲基础设施指数的增量作为基础设施完善程度(AIDI)的代理变量进行回归,表6第(7)列结果表明,合作区显著改善非洲国家基础设施,是促进包容性增长的渠道之一。
4. 合作区对工业化的影响。工业发展伴随着技术外溢,是推动经济增长和减少贫困的重要驱动力,也是实现包容性增长的关键因素。合作区作为产业转型的重要工具,能够促进技术外溢并提升工业化水平,从而有助于提高包容性增长水平。郑德俊等(2025)强调科技成果的发表引用是表征知识流动和技术创新外溢的重要指标。因此,本部分采用工业增加值(indus)、科技期刊文章发表数量(tech)作为代理变量反映工业化进程、技术外溢水平。相关结果表明(表6第(8)~(9)列),合作区促进非洲国家的工业化发展、技术外溢,进而实现包容性增长。
表6机制检验结果
五、 拓展性分析
(一) 合作区与东道国特征因素的协同效应检验
合作区的快速发展为非洲国家提供了发展所必需的大量资金和技术,然而部分西方媒体和学者对中国的援助动机提出质疑,认为中国企业往往投资于自然资源丰富的国家,这将导致这些国家经济发展的资源依赖度大幅提升,进而进入“资源诅咒” 陷阱,损害经济的长期发展(Marysse & Geenen,2009)。与此同时,Kolstad & Wiig(2011)也担忧来自发展中国家的跨国公司在进入东道国市场时可能会利用贿赂等手段回避政府监管,从而对东道国制度质量造成损害。为检验合作区建立与东道国特征因素的协同效应,本部分构造如下模型:
(3)
式中,factorit为衡量东道国特征因素的相关指标,包括自然资源和制度质量,自然资源用自然资源租金总额与GDP之比衡量,数据来源于WDI数据库;制度质量设置为虚拟变量,将比中国制度质量差的国家赋值为1,反之为0,相关数据来源于WGI数据库。
表7汇报了合作区与东道国特征因素的协同检验结果。当东道国特征因素为自然资源时(第(1)~(2)列), CACZ×natural系数有正有负,且都不显著,表明在自然资源丰富的非洲国家,合作区的包容性增长效应并不明显,这意味着合作区的设立并非仅限于开发东道国的自然资源,而这种包容性增长不能简单归因于非洲国家用丰厚的自然资源获取的传统发展模式,这反驳了上述质疑。当以制度质量衡量东道国特征因素时(第(3)~(4)列),在制度质量落后于中国的非洲国家,合作区建设对经济增长的促进作用更为显著,但对社会包容性无显著性影响,这表明中国可以通过合作区建设将自身制度优势传导至制度相对落后的非洲国家,对其进行改善。正如潘春阳和吴青山(2021)研究指出,中国的OFDI可以通过“母国监管效应”,改善治理能力较弱的发展中国家制度质量,从而提高其增长绩效。
表7合作区与东道国特征因素的协同检验
(二) 合作区的数量与东道国包容性增长协调性的检验
在理论上,合作区数量越多,越有利于推进东道国形成产业聚集,进而实现包容性增长。那么,相比于较少合作区的东道国,较多合作区的东道国是否会使得包容性增长更快?为此,本文将合作区数量大于2个的国家归入“多园区”组,否则归入“少园区”组,并利用Oaxaca-Blinder模型分解组间对包容性增长差异的影响因素。该方法最早由Oaxaca(1973)和Blinder(1973)提出,后被广泛应用至考察核心变量对处理组与控制组结果变量差异的贡献程度。两组之间的包容性增长差异可分解为:

(4)
式中,下标more为处理组,表示“多园区”组别;下标fewer为控制组,表示“少园区”组别。等号右边第一项代表由于两组禀赋特征所引起的包容性增长差异,即特征差异;第二项为系数差异,可理解为由于合作区的数量带来的包容性增长差异,这是本文主要关注的部分。
表8展示Oaxaca-Blinder分解结果。以经济增长为因变量时,与“少园区”组相比,“多园区”组的经济增长效应更低,但这种差异是由禀赋特征所导致,而第 (3)列的系数差异为0.049,且在1%水平下显著为正,表明“多园区”组的经济增长水平更高。以社会包容性为因变量时,与“少园区”组相比,“多园区”组的社会包容性效应更高,同时这种差异大部分由合作区数量所带来的。综上,合作区数量越多,越有利于实现包容性增长。
表8“多园区”组和“少园区”组包容性增长的 Oaxaca-Blinder 分解结果
六、 结论与建议
本文研究发现,合作区设立显著促进东道国包容性增长,不仅促进经济增长,还增强社会包容性。异质性分析表明,合作区的包容性增长效应在北部非洲、收入水平较高、不平等程度较高、文化距离较低的国家中更加明显,尤其是通过考核的合作区以及由国企主导投资的合作区。机制分析表明,贸易创造、资本流入、基础设施建设、工业化水平提升是合作区影响包容性增长的主要传导路径。进一步地,合作区与东道国特征因素的协同效应检验表明,制度质量与合作区存在联动效应,而自然资源尚未显现此效应;利用Oaxaca-Blinder模型对包容性增长进行分解发现,“多园区” 组的布局使得包容性增长更快。
本文从以下四个方面提出建议:第一,鉴于合作区建立显著促进东道国包容性增长,应加快推进合作区高质量发展。通过扶持政策加大对东道国的合作投入,迅速回应非洲关于提升民众生活水平、创造就业岗位的明确需求,加强与当地民众及企业的直接对话,并建立投资合作体系。同时,应利用多种渠道,主动引入本土人才参与日常运营及投资吸引工作,以促进其与当地社会的紧密结合,避免形成“孤岛效应”。应推进更多民生项目,注重清洁生产和绿色技术应用,推动低碳转型,切实改善当地居民福祉。第二,采取因地制宜的政策,结合非洲国家自身特点进行差异化合作,避免“一刀切” 的做法。鉴于合作区在推动包容性增长方面对不同东道国展现出差异性影响,在园区建设筹备阶段,需综合考量其发展定位与非洲各国的地理位置特征、经济收入水平、社会不平等状况、文化相似度以及我国企业实际需求之间的匹配度,旨在有效促进当地民众福祉的提升。第三,强化贸易创造、资本流入、基础设施建设、工业化水平提升效应。提升东道国产品加工效能,保障贸易流畅,从而扩大双边贸易量;创新企业盈利模式,鼓励中国企业集体出海,增加对非直接投资;加强与非洲在互联互通项目上的合作,扩大基建布局,加速基础设施建设;强化合作区产业集聚,促进技术转移与升级,培育龙头企业,并围绕这些核心企业优化产业链,提升非洲工业化水平。第四,注重制度质量建设、发挥合作区集聚效应。拓展性分析表明,制度质量与合作区存在联动效应;“多园区”组布局使得包容性增长更快。因此,需加强政府间的协调和沟通,获得母国政府与东道国政府的共同支持,并设立“管理委员会”,协调处理合作区布局规划、行政管理制度、招商引资和税收优惠等问题,降低企业面临的不确定性。同时,适度提升合作区数量,形成产业集聚效应,加快产业体系建设。
① 因篇幅有限,描述性统计结果留存备索。
① 中国财政数据来源于国家统计局,建设合作区概率为样本观察期内非洲国家接受中国在其设立合作区年份的比例。
① 回归结果备索。