摘要
外资准入负面清单管理是我国扩大开放、优化营商环境的核心制度创新。这一制度如何影响并重塑企业供应链格局,是理解我国供应链现代化进程的关键命题。本文从理论与经验两个维度探究外资准入负面清单的制度安排对供应链多元化格局的影响,以中国企业供应链上游中间品供应商和下游客户网络的整体结构为研究对象,从理论层面系统考察外资准入负面清单制度对企业供应链多元化的影响及作用机制。基于 2008~2019 年国泰安中国上市公司供应链数据,运用多期双重差分模型进行实证检验,结果发现,外资进入显著促进了中国企业供应链多元化水平的提升,且该效应主要通过提高企业技术水平和降低企业融资成本两条路径实现。异质性分析进一步揭示,外资进入对上游供应商多元化的促进作用强于下游客户;其对小型企业、东部地区企业、制造业企业以及高市场化水平企业的供应链多元化提升效果更为明显。本文为我国进一步优化外资政策与推动企业供应链现代化提供了重要的经验依据与决策参考。
Abstract
The management of the Negative List for Foreign Investment Access is a crucial institutional innovation in China’s eff orts to expand opening-up and optimize the business environment. How this system infl uences and reshapes the supply chain landscape is a pivotal question for understanding the modernization process of China’s supply chains. This paper takes the overall structure of upstream intermediate input suppliers and downstream customer networks in the supply chains of Chinese enterprises as the research object, and systematically examines the impact mechanism of the Negative List System for Foreign Investment Access on the diversifi cation of enterprise supply chains from a theoretical perspective. Based on the supply chain data of Chinese listed companies from 2008 to 2019, an empirical test is conducted using a multi-period diff erence-in-diff erences (DID) model. The study fi nds that the entry of foreign investment signifi cantly promotes the improvement of the supply chain diversifi cation level of Chinese enterprises. Mechanism analysis shows that this effect is mainly achieved through two paths: improving the technological level of enterprises and reducing fi nancing costs. Further heterogeneous analysis reveals that the promotion eff ect of foreign investment entry on the diversifi cation of upstream suppliers is stronger than that on downstream customers. Meanwhile, its eff ect on enhancing supply chain diversifi cation is more signifi cant for small-scale enterprises, enterprises in eastern China, manufacturing enterprises, and enterprises in regions with a high level of marketization. This study provides important empirical evidence and decision-making references for China to further optimize foreign investment policies and promote the modernization of enterprise supply chains.
一、 引言
近年来,全球供应链面临“脱钩断链”风险,其多元化配置的重要性日益凸显。习近平总书记在中共中央政治局第十一次集体学习时强调:“要围绕发展新质生产力布局产业链,提升产业链供应链韧性和安全水平,保证产业体系自主可控、安全可靠。”这凸显了供应链安全已成为我国构建新质生产力体系的核心环节。然而,当前世界正面临前所未有之大变局,地缘冲突与保护主义相互交织,新一轮科技革命持续推动国际产业分工与竞争格局深度重塑,我国产业链供应链面临严峻挑战。
在此背景下,中央经济工作会议多次明确“扩大高水平对外开放”,并在复杂的国际形势下特别强调“稳住外贸外资基本盘”,持续推进外资准入负面清单管理制度改革,不断拓宽外资市场准入。外资作为衔接国内国际双循环的关键纽带,长期以来在我国经济发展中扮演着重要角色。正如江小涓等(2021)所指出的,外资企业是我国企业融入全球创新网络和获取先进技术的重要渠道。改革开放四十余年以来,我国实际利用外资规模从1983年的9.2亿美元增长至2023年的1632.5亿美元,增长了176倍。外资进入不仅带来资本积累,更通过技术溢出、管理经验传导和供应链协同等途径,深度参与并推动我国产业升级和供应链现代化进程(倪红福等,2025)。具体而言,外资通过引入新的供应商、拓展多元技术路线,为我国供应链注入更多资源,有效打破单一依赖格局。从供应链风险管理视角看,这种多元化策略是构建供应链韧性的关键(郭娟娟和徐乾宇,2025),不仅促进了企业建立更灵活的协调机制,更从结构上降低特定风险的冲击,从而系统性增强供应链的安全与韧性。这一进程与我国缩减外资准入负面清单、扩大高水平开放的政策导向形成良性互动,也为深入研究外资进入对企业供应链多元化的影响提供了新的契机。
因此,如何通过扩大高水平对外开放增强供应链韧性、吸引高质量外资融入新质生产力体系,已成为我国在多重挑战中稳步推进高质量发展的关键议题。在当前全球供应链加速重构的背景下,系统考察外资进入对中国企业供应链多元化策略的影响,不仅关乎我国对外开放战略的有效实施,更对提升产业链韧性与安全水平具有重大现实意义。基于上述现实挑战与研究需求,一个至关重要且亟待深入探讨的问题是:外资进入如何影响我国企业的供应链多元化水平?这一问题的解答对于我国在复杂国际环境中通过高水平对外开放增强供应链韧性具有关键的政策启示。
有别于现有文献主要探讨外商直接投资对东道国经济的影响(江小涓,2002;冼国明和严兵, 2005;毛日昇,2009),本文从覆盖上游中间品供应与下游流通渠道的综合视角界定供应链多元化,并在此基础上系统考察外资进入对其影响。这一研究不仅有助于揭示外资影响东道国经济的微观作用路径,拓展FDI研究深度,也为我国构建更具韧性和安全性的产业链供应链体系提供新的理论依据与政策启示。
本文的创新点主要体现在以下三个方面:第一,研究视角方面,首次将外资准入负面清单管理制度与企业供应链多元化置于统一框架中考察,揭示其对中国企业供应链配置策略的影响,弥补现有文献多关注外资宏观效应而忽视其微观主体活动作用的不足。第二,机制识别方面,从技术创新与融资成本两条路径实证检验外资进入影响供应链多元化的中介机制,为理解外资提升供应链韧性提供了更细致的理论解释和经验证据。第三,异质性分析方面,从企业规模、区域分布、行业属性和市场化水平等多维度揭示外资影响的差异性,为实施精准、分类别的外资政策与供应链政策提供扎实依据,进一步增强研究的实践指导价值。
二、 文献综述与理论假说
(一) 文献综述
本文聚焦外资进入对中国企业供应链多元化的影响,相关研究可梳理为两大方向:一是外资进入所产生的经济效应,二是供应链多元化的动因与效果。
1. 外资进入的经济效应研究
外资进入通过多种渠道影响东道国企业的经营行为与资源配置。在融资层面,外资不仅通过直接注资缓解企业资本约束,还可以借助信号效应引导国内信贷资源重新配置(韩旺红和马瑞超, 2013),尤其有助于全球价值链上游企业克服高研发投入带来的融资瓶颈,推动其向高附加值环节攀升(唐宜红和张鹏杨,2018)。然而,吕越等(2016)的研究也指出,融资约束仍显著抑制企业价值链升级,反映出外资作用的复杂性。在政策与溢出效应方面,外资准入负面清单管理制度通过缩减限制领域显著促进了外资流入(李志远等,2022),并进一步通过竞争效应、关联效应与技术溢出效应显著提升企业的创新能力(宋赛虎和李娜,2024)。相关研究进一步从行业关联视角揭示了外资的异质性影响:外资进入虽可能抑制同行业企业生产率(Lu et al.,2017),但通过前、后向关联显著促进了上下游企业生产率和出口产品质量(毛其淋和许家云,2018;徐乙尹等, 2022);类似地,其对企业出口规模、劳动成本及工资差距的影响也呈现明显的行业间差异(张伟俊等,2023)。综而言之,现有文献大多聚焦外资对生产率、创新、出口及就业等方面的影响,而关于其与企业供应链组织形态——尤其是供应链多元化策略的研究仍较为有限,尚未形成系统性的机制分析。
2. 供应链多元化的动因与效果
供应链多元化是企业应对不确定性的关键战略,其核心在于通过供应商基地、区域布局和物流渠道的多样化提升系统韧性(陈剑,2012)。2008年国际金融危机和2017年中美贸易摩擦等外部冲击进一步凸显了该策略的重要性,推动研究焦点从成本效率转向风险分散与弹性构建(周洁等, 2022)。这一策略不仅有助于企业获取议价优势、降低依赖风险(张学龙等,2018),还能在突发冲击中维持运营连续性。近年来,越来越多中国企业通过“中国+1”或区域多元化战略重构全球生产布局(魏龙等,2024),以增强对关键资源的控制力及在复杂环境中的适应能力和持续竞争力。现有研究从多个维度探讨了供应链稳定性的影响因素,外部环境方面,自然灾害(Son et al., 2021)和公共卫生事件(Ivanov & Dolgui,2020)等冲击受到广泛关注;供应链结构方面,学者聚焦结构复杂性(Bode & Wagner,2015)与企业网络地位(包群和但佳丽,2021)的影响;而实物流、信息流和资金流的高效协同(Umar & Wilson,2024;Lee et al.,1997;Ersahin et al., 2024b)也被视为维持稳定的关键。此外,企业战略调整(包群等,2023)、高管团队特征(Sun & Fang,2015)以及物联网、大数据等数智技术的应用(Wu et al.,2016;Belhadi et al.,2021; Katsaliaki et al.,2022)均对供应链稳定性具有显著作用。尽管研究视角丰富,但现有文献尚未系统阐明外资进入如何影响企业供应链多元化策略,其作用机制与因果路径仍有待深入挖掘。
3. 文献评述
已有文献多数聚焦于企业自主决策或外部冲击下的被动调整,却忽视了外资这一重要影响因素,这种研究现状存在以下局限:第一,多数文献孤立讨论外资的经济效应或供应链多元化的价值,未能将外资进入视为供应链配置的重要驱动因素进行机制剖析;第二,缺乏从外资准入政策变革视角出发的实证研究,尤其欠缺基于大型微观数据与因果识别策略的证据支持;第三,现有成果多集中于宏观现象描述或案例总结,对企业异质性和传导渠道的讨论不够深入。基于此,本文在以下三个方面推进现有研究:一是将外资进入、企业行为与供应链结构调整纳入统一分析框架,从技术升级与融资成本两条路径揭示其影响机制;二是依托外资准入负面清单这一外生政策变革,构建多期双重差分模型增强因果识别能力;三是通过企业规模、区域、行业与市场化水平等多维异质性分析,为实施更具指向性的外资与供应链政策提供依据。
(二) 理论假说
外资进入通过改变企业所处的技术与融资环境,深刻影响其供应链多元化决策。外资进入对东道国企业供应链多元化具有推动作用。这种作用体现为:外资企业凭借其固有的全球化采购体系与多元化布局战略,打破了东道国企业原有的地域限制,为其引入了国际化的供应商与客户资源。诸多研究为此提供依据,例如,韩冰和徐奇渊(2023)的研究指出,跨国公司通过多元化布局,重构全球供应链布局,形成“N+1”的多元化供应链特征;赵晓梅等(2024)基于自贸试验区的准自然实验发现,旨在促进外资进入的政策显著降低了企业的供应链集中度;路红艳等(2022)的研究同样证实了外资在直接链接全球网络方面的积极作用。基于上述分析,外资进入帮助企业融入全球供应链体系,推动企业供应链多元化决策。据此,提出假说1:
假说1:外资进入促进企业供应链多元化。
1. 技术溢出效应
外资进入是东道国企业获取先进技术和管理经验的重要途径。唐宜红等(2019)研究认为,外资的溢出效应包括行业内和行业间两个维度,前者涉及复杂专业知识与核心技术的扩散,后者则以通用技术和管理经验为主,对发展中国家的企业更具适用性。这些技术溢出提升了本土企业的创新能力和生产管理水平(包群和赖明勇,2002),进而增强其整合与协调供应链资源的能力。
具体而言,技术进步对企业供应链多元化具有多方面的促进作用。首先,信息与通信技术的发展显著提高了供应链的可视性和跨环节信息共享效率,降低了上下游之间的协调与匹配成本(沈国兵和沈彬朝,2024a)。其次,先进技术的应用增强了企业对市场波动和外部风险的预测与响应能力,使其能够通过多元化策略有效分散供应链中断风险(Ersahin et al.,2024a)。此外,自动化、物联网和数字化平台等技术手段拓展了企业全球资源调配与合作伙伴选择的范围,为其构建跨国界、多区域的供应链网络奠定了基础(李娜和伍世代,2020)。尤其对于意图突破国际贸易成本壁垒的企业而言,技术能力是克服“固定成本门槛”、实现市场多元化和供应链布局优化的重要前提 (Melitz,2003)。基于上述分析,外资进入通过技术溢出提升企业技术水平,进而增强其管理复杂供应链的能力和动机,最终推动供应链多元化水平的提升。由此提出假说2:
假说2:外资进入增强企业竞争力与管理能力,通过技术溢出效应提高企业供应链多元化水平。
2. 融资成本效应
外资进入通过缓解企业融资约束、降低融资成本,间接影响其供应链策略。一方面,外资企业通常具备更高的信息透明度和更规范的治理结构,其参与可改善本土企业的经营规范性与信息披露质量,减轻外部投资者与企业之间的信息不对称,从而有助于降低债务融资成本和股权融资风险 (王芬,2020)。另一方面,外资进入加剧市场竞争,迫使企业加大研发投入和资本积累,进而提升企业创新能力,长期有助于提升企业信用资质、降低融资成本。
进一步地,融资成本下降对企业供应链多元化具有重要影响。首先,更低的融资成本缓解了企业流动性约束,使其将更多资金用于开拓多元供应商、建立备用产能、布局海外仓储和物流网络,从而增强供应链的广度与韧性(沈国兵和沈彬朝,2024b)。其次,融资便利度的提升有助于企业更好地协调上下游资金流、信息流与物流,强化其对整个链条的控制力,尤其有利于中小企业通过依托核心企业获得基于真实交易的供应链金融支持(张学龙等,2018)。此外,低成本融资使企业有能力推进新产品开发与市场拓展,进而通过需求多元化反向推动供应结构的多样化,例如苹果公司通过高效融资实现全球供应链的多元布局与技术创新。基于上述分析,外资进入有助于降低企业融资成本,增强其资源配置能力和供应链调整灵活性,从而为企业推进供应链多元化提供必要的财务支持。由此提出假说3:
假说3:外资进入降低信息不对称和企业融资成本,通过融资成本效应提高企业供应链多元化水平。
三、 模型构建、指标说明与数据来源
(一) 实证模型
外资准入负面清单试点政策是中国推进对外开放的重要制度创新,其核心是“准入前国民待遇 +负面清单”管理模式。负面清单明确列出禁止和限制外资进入的领域,清单之外的领域则实行内外资一致的管理原则,外资企业可依法平等进入。
外资准入负面清单试点政策主要经历如下过程:①2013年至2015年起步阶段:2013年上海自贸试验区成立,形成第一份包含190项条目的外资准入负面清单。该阶段发展主要依托上海自贸试验区的先行先试,重点是建立负面清单模式的外资准入框架,简化了外资准入流程。②2015年至2016年扩大试点阶段:2015年广东、天津、福建三个自贸试验区成立,“四个自贸试验区版”负面清单发布,条目减至122条。外资准入范围进一步放宽到农副产品加工、酒类等一般制造业领域的外资准入限制。③2016年至2017年全国试点阶段:负面清单管理模式开始向全国推广。同时, 《外资准入负面清单草案(试点版)》出台,“全国版”负面清单公布,条目数量进一步缩减为63 条。放开行业包含轨道交通设备制造、医药制造等领域,自贸试验区实现负面清单全覆盖。④2018 年至2019年完善阶段:2018年公布的外资负面清单“全国版”首次从“外商投资产业指导目录” 中剥离并独立发布,条目减至48条,“自贸试验区版”减至45条。“全国版”负面清单在金融、基础设施、交通运输等多个领域推出开放举措。⑤2019年至2024年持续优化阶段:2019年、2020 年、2021年,负面清单持续缩减,“全国版”分别减至40条、33条、31条,“自贸试验区版”分别减至37条、30条、27条。2024年全国外资准入负面清单限制措施由31条减至29条,制造业领域外资准入限制措施全面取消。
外资准入负面清单政策在地区和时间维度上的实施差异,为本文提供了较好的准自然实验研究场景。这是因为:其一,试点地区选择具有外生性。试点地区由中央政府根据区域战略定位(如自贸区、国家级新区等)直接指定,地方政府无自主申请权。其二,政策实施时点的不可预测性:外资准入负面清单的调整并非事先完全可预测,而是根据国内外经济形势、产业发展需求以及国家战略等因素动态调整。基于以上考虑,在研究设计中,本文借鉴黄凌云等(2023)的做法,采用外资准入负面清单政策试点作为外资进入的衡量指标,构建多期双重差分模型检验外资政策对中国企业供应链多元化的影响以及其内在机理,力求提升研究结论的严谨性与可信度。考虑到我国外资准入负面清单是分批进行的,时间上存在明显的先后,因此在本文的研究过程中构造一个多期双重差分模型,模型设定如下:
(1)
其中,i、p、t分别表示企业、省份和年份。是被解释变量,指位于地区p的企业i在t年的供应链多元化水平。policypt是核心解释变量,表示企业i所在地区p在t年是否采用外资准入负面清单管理模式。回归系数α1,表示负面清单模式引致的外资进入对企业供应链多元化的影响。代表企业层面一系列控制变量。为了控制企业层面不随时间变化的因素、时间趋势对结果以及地区和时间共同作用对实证结果的潜在干扰,本文在模型中加入了企业固定效应di 、时间固定效应dt 和地区—时间固定效应dpt。εipt为随机扰动项。
(二) 指标说明
1. 被解释变量
本文的被解释变量为ln diveript,采用供应链集中度侧面表征供应链多元化程度。首先,参考唐跃军(2009)的做法,构建供应商集中度和客户集中度。其中,供应商集中度采用前五大供应商的采购金额占企业总采购金额的比值衡量;客户集中度采用前五大客户获得的营业收入金额占企业营业收入的比值衡量。进一步地,采用供应商集中度和客户集中度的均值综合反映供应链集中度ln diveript(方红星等,2017)。ln diveript的值越大,表明供应链集中度越高,也就说明供应链多元化水平越低;反之,ln diveript的值越小,说明供应链多元化水平越高。
2. 核心解释变量
本文的核心解释变量policy衡量外资进入,在外资负面清单模式全国施行前,若企业所在地当年设立了自由贸易区,以及样本观察时间在外资负面清单模式施行后,则policy取值为 1,否则policy取值为0,外资准入负面清单试点地区见表1。
表1我国外资准入负面清单试点
3. 控制变量
本文的控制变量主要包括企业年龄(lnage)、企业规模(lnsize)、企业成长(lngrowth)、企业盈利能力(ln roa)、企业资本密集度(ln kl)、企业资产负债率(ln lev)、企业现金流水平 (lncashrat)、前十大股东是否存在关联(asso)以及企业融资约束水平(fin)。
具体地,企业年龄(ln age)采用当年年份减去企业开业年份再加1的对数值衡量;企业规模 (lnsize)采用企业营业总收入取对数值衡量;企业成长(lngrowth)使用企业营业收入增长率的对数值表示(方芳和蔡卫星,2016),即企业i在t期末的营业收入值减去t期初的营业收入值,再除以期初值并取对数,其数值越大,表示企业成长速度越快;企业盈利能力(ln roa)为上市公司净利润与总资产比值的对数值;企业资本密集度(lnkl)为固定资产净值与从业员工人数比值的对数值;企业资产负债率(lnlev)采用企业负债总额与企业总资产之比的对数值衡量;企业现金流水平 (lncashrat)取现金及其现金等价物与总资产之比的对数值来表示;前十大股东是否存在关联变量 asso,不存在关联,asso取值为1,存在关联,asso取值为2,不能确定,asso取值为3;企业融资约束水平根据公式fin=-0.737*size+0.043*size2-0.04*age进行计算(Hadlock & Pierce,2010;鞠晓生等,2013),指数值越大,说明企业融资约束程度越大。
(三) 数据来源
本文数据来源于国泰安上市企业数据库。考虑到全球疫情以来,全球市场频受外部突发性冲击,企业的供应链格局出现异常波动,为确保实证分析所用样本数据的平稳性及研究结论的准确性,本文以2008~2019年的中国上市企业为初始研究样本,并进行如下预处理:一是,剔除上市状态为ST、*ST、SST的企业;二是,剔除关键变量、财务数据严重缺失的样本,处理后得到包含 17525个观测值的非平衡面板数据。另外,后续稳健性检验采用的地区层面控制变量来源于相关年份的地区统计年鉴。
表2报告了实证变量的统计性描述。在2008~2019年,处理组样本中,企业供应链集中度平均值为3.3784;对照组样本中,企业供应链集中度平均值为3.3847,表明负面清单政策对处理组和对照组供应链集中度或者供应链多元化存在差异化影响,处理组企业所受负面清单政策的影响更明显。
表2变量的统计性描述
四、 实证检验
(一) 基准回归
本文采用Stata17得到外资进入对企业供应链多元化的基准回归结果(表3)。在控制企业固定效应、时间固定和地区×时间固定效应的同时,逐步加入控制变量——企业年龄(lnage)、企业规模(lnsize)、企业成长(lngrowth)、企业盈利能力(lnroa)、企业资本密集度(lnkl)、企业资产负债率(lnlev)、企业现金流水平(lncashrat)、前十大股东是否存在关联(asso)以及企业融资约束水平(fin),核心解释变量(policy)估计系数均为负,且通过了1%显著性水平。初步证实外资准入负面清单模式引致的外资进入有助于提高供应链多元化水平。这一结果初步验证了假说1。可能原因在于:其一,外资企业通常拥有先进的技术和管理经验,这些技术和经验的引入可以提升当地供应链的整体水平。外资企业的高标准要求促使本土供应商提高自身的生产能力和服务水平,从而间接促进了供应链的多元化和技术升级。其二,外资企业的加入增加了市场的竞争程度。为了在激烈的竞争中得以生存,本土企业必须不断创新,寻找新的市场机会和合作伙伴,这有助于推动供应链向更多元化的方向发展。
表3基准回归
注:表中()内为稳健标准误,均聚类到地区层面。***、**、*分别代表1%、5%和10%的显著性水平,后表同。
(二) 稳健性检验
1. 平行趋势检验
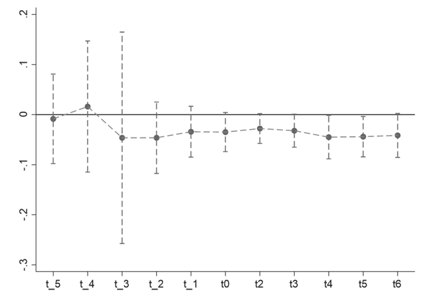
本文借鉴Beck等(2010)的方法进行平行趋势检验。①引入一系列时间虚拟变量t_1~t_5、 current、t1~t5,表示负面清单管理模式试点前1至5年、试点当年和试点后1至5年,②将政策发生第一年作为基期,在继续控制基准回归模型中所有控制变量以及固定效应的基础上进行回归。
如图1所示,发现在政策发生期(t0)前,所有估计系数在0值附近波动,而在政策发生当年及之后年份,所有估计系数均显著为负。这表明本文实验组和对照组之间的平行趋势假设成立,且负面清单政策实施对企业供应链集中度具有显著负向作用,有助于供应链多元化水平提高。
图1平行趋势检验
2. 改变变量测度形式
首先,将前文中前五大供应商集中度与前五大客户集中度,改成前一大供应商和前一大客户集中度的均值,重新对模型(1)进行回归,结果汇报于表4第(1)列,policy估计系数为-1.9174,通过了1%显著性水平。其次,改用供应商和客户集中度赫芬达尔指数的均值作为被解释变量重新对模型(1)进行回归,发现policy的估计系数为-3.1525,再次验证了本文基准回归检验结果的稳健性。
再次,改变核心解释变量的衡量形式。主要包括两种做法:其一,使用地区层面新进外资企业数量的对数值作为外资利用指标的替代变量进行稳健性检验。具体地,首先,从国家企业信息公示系统(简称“工商库”)中得到截至2019年12月31日所有注册备案的外商投资制造业企业信息。③ 参考陈强远等(2021)、李磊和马欢(2023)的方法进行数据处理:剔除所在地区、所属行业、经营状态、成立日期、核准日期等关键指标缺失的样本,剔除核准日期异常的样本。其次,基于全部外资企业数据,计算p地区各年新成立外资企业数量。本文按照企业成立年份、所在地区进行分组,统计各组新进外资企业数量。
采用“地区-年份”层面新进外资企业数量的对数值作为外资利用的替代指标(ln fdifirm)。该值越大,说明该地区利用外资水平越高。将其作为核心解释变量重新对模型进行实证检验,相应实证结果汇报在表4第(3)列。通过观察可以发现,核心解释变量ln fdifirm的估计系数为-0.1245,且通过了1%显著性水平,表明在采用新进外资企业数量作为外资利用替代性指标后,其对企业供应链集中度仍具有显著的抑制作用,这也表明外资利用对企业供应链多元化具有显著的促进作用,与基准检验结论相一致。
采用各地级市实际利用外商直接投资流量的对数值④(ln fdivalue)作为外资利用的替代性指标进行稳健性检验。图2描绘了地级市层面外商直接投资流量与企业供应链集中度平均水平之间的相关关系,发现两者之间存在负向关系,即外资利用对供应链集中度具有抑制性影响。为了验证该判断,本文进一步采用计量方法进行实证检验,相应实证结果汇报于表4第(4) 列。通过观察发现,核心解释变量 ln fdivalue的估计系数虽为负,但未能通过 10%显著性水平,表明地级市实际利用外资金额对企业供应链配置多元化水平的影响有限。
图2拟合散点图
表4改变变量测度与实证方法的稳健性检验
注:表中()内为稳健标准误,均聚类到地区层面。
外资企业数量与供应链多元化之间的显著正相关关系可能源于其对本地供应链网络的直接构建与外部性溢出。一方面,外资企业数量的增加直接带来了新的供应商、客户及合作纽带,丰富了供应链网络的节点与路径。另一方面,外资集聚形成的网络效应能促进本土企业与海外生产要素的间接联动,从而开辟更多元化的国际合作机会。相比之下,衡量外资流量的变量在实证中不显著,其原因可能包括:首先,外资流量反映的是资金的短期动态流入,波动幅度较大,易受宏观经济政策、地缘政治和市场情绪的影响,难以稳定体现其对供应链的长期结构性作用。其次,外资流入可能集中于金融或短期投资领域,并不直接转化为供应链的多元化构建。再者,不同行业在外资依赖度与供应链特征方面存在显著异质性,若外资集中流入供应链多元化程度较低的行业,则整体效应容易被稀释。此外,外资流量数据可能存在统计口径不一致、覆盖不全以及内生性问题(例如外资流入本身受当地经济环境和政策影响),这些问题均会干扰其与供应链多元化之间的因果关系识别。
因此,外资企业数量作为衡量指标更能反映外资在本地形成的实体网络和长期布局,其与供应链多元化的显著关系具备合理的微观基础;而外资流量更多反映短期的资金动态,与供应链多元化的关联则较为间接和波动,导致实证结果不显著。
综上所述,在改变被解释变量和核心解释变量的测度方法后,大部分结果均表明外资利用对企业供应链集中度具有显著的抑制作用,即外资的进入有助于提升我国企业供应链多元化水平,支持基准检验结论的稳健性。
3. 改变实证方法
本部分主要采用倾向得分匹配后的双重差分模型进行稳健性检验。主要有两种做法:第一,采用卡尺1:2匹配后的样本进行回归。首先将处理组和对照组采用卡尺最近邻匹配(1:2)方法进行匹配,滞后一期的协变量结果汇报在表5。通过观察可以发现,对照组和处理组的协变量在匹配前存在明显的差异,匹配后的标准偏差均小于10%,且都明显低于匹配前,这表明本文协变量均接受 “两组间协变量的均值不存在系统性偏差”的原假设,匹配有效缓解了两组企业间的个体特征差异问题(Rosenbaum & Rubin,1985)。对匹配后的样本采用DID方法进行回归,结果见表4第(5) 列,policy的估计系数为-1.1207,表明在采用卡尺内1:2方法匹配后,外资进入对企业供应链多元化仍具有显著的促进作用。
表5卡尺内 1:2 匹配前后 Balancing 检验
第二,采用核匹配后的双重差分模型进行回归。首先检验每个协变量的平衡性条件,结果呈现在表6,发现对照组和处理组匹配后的标准偏差均小于10%,说明匹配使得两组企业的个体特征差异得以缓解。进一步对匹配后的样本进行实证回归,结果见表4第(6)列,观察发现,核心解释变量policy的估计系数为-0.8524,且通过了1%显著性水平,验证了基准检验结论的稳健性。
表6核匹配前后 Balancing 检验
4. 其他稳健性检验
第一,改变稳健标准误的聚类方式。表7第(1)列将稳健标准误聚类在企业层面,发现policy 的估计系数为-0.6823,且显著为负;第(2)列稳健标准误聚类在行业层面,发现核心解释变量 policy的估计系数仍显著为负,说明在改变聚类方式后,外资进入有助于促进企业供应链多元化的结论仍然成立。
第二,为了缓解因遗漏地区层面因素对实证结果的干扰,表7第(3)列进一步控制地区层面的变量,主要包括:地区GDP、地区人均GDP、地区专利水平以及对外开放水平。在加入上述地区变量后,policy的估计系数为-1.4633,且通过了1%显著性水平,说明外资进入显著抑制了供应链集中度,有助于提高供应链多元化水平,即基准检验结论具有稳健性。
第三,剔除其他重要事件的干扰。2008年国际金融危机爆发,导致全球资金流动性紧缩,跨国公司和投资者的资金链紧张,从而减少了对外投资的能力和意愿。为了缓解因外部不确定性增加对实证结果的干扰,本文剔除2008~2010年数据,重新采用2011~2019年数据样本对模型(1)进行检验,结果见表7第(4)列。观察发现,policy的估计系数为-0.5870,再次验证了基准检验结论的稳健性。
第四,剔除“一带一路”倡议、自贸区政策对实证结果的干扰。2013年,习近平总书记提出了共建“一带一路”的合作倡议。“一带一路”倡议对企业供应链多元化的影响体现在多个维度。政策协同机制的完善为企业跨境配置资源破除制度性障碍,促使企业将原材料采购、生产基地布局向沿线市场延伸。基础设施互联互通网络的构建缩短了区域物流时效并降低综合成本,企业得以在更广阔地理空间内优化仓储、运输节点布局,形成海陆联动的立体供应链网络。贸易便利化措施的推进催生了跨境电商、海外仓等新型贸易业态,拓宽了企业产品流通渠道。金融合作平台的搭建则通过专项贷款、跨境结算等服务,为企业海外供应链建设提供资金支撑。人文交流的深化帮助企业更好地理解沿线市场文化差异,降低跨文化协作风险,推动供应链从单一地域依赖向多元区域协同转型,增强企业应对全球市场波动的弹性。为了缓解“一带一路”倡议对实证结果的干扰,本文构建外部政策变量,若企业所在地区属于“一带一路”沿线地区,则自2013年开始ydyl取值为1,否则取值为0;将其作为控制变量纳入模型,检验发现policy的估计系数仍显著为负,与基准检验结论相一致。此外,自贸区以制度创新为主要内容,发挥平台优势推动企业海外投资,与“一带一路”、 RCEP等政策对接,为供应链多元化提供多重助力。基于此,本文在实证模型中加入自贸区政策变量(zmq)以排除自贸区制度对外资进入与供应链多元化关系的影响。在控制zmq变量后,表7第 (6)列显示policy的估计系数为-0.6735,再次证明了基准检验结论的稳健性。
表7其他稳健性检验
注:表中()内为稳健标准误,第(1)列聚类到企业层面,第(2)列聚类到行业层面,第(3)、(4)列聚类到地区层面。
5. 随机置换检验
本文构建虚构的时间虚拟变量和地区变量替代基准回归中真实的时间虚拟变量和政策冲击虚拟变量,将其相乘构造伪政策变量,并重新进行回归,设计“反事实”框架下的随机置换检验以排除随机扰动可能对本文基准回归结论的影响。本文将以上过程分别重复抽样和回归500次和1000次,估计系数的分布图见图3和图4。如图所示,图中概率密度的峰值均出现在0附近,且基准检验系数显著不同于随机置换检验得到的系数,进一步证明企业供应链多元化的提升确实是由负面清单政策所导致,而非其他因素干扰。
图3抽样 500 次的随机置换检验
图4抽样 1000 次的随机置换检验
五、 机制检验
通过前文理论分析,本节详细探究外资引入对供应链多元化影响的路径机制。在已有研究的基础上,本文将外资引入与供应链多元化的内在机理总结为技术溢出效应和融资成本效应。借鉴毛其淋和杨晓冬(2022)、郭娟娟(2025)的做法,构建公式(2)来检验核心解释变量对中介变量的影响:
(2)
进一步地,鉴于本文选取的中介变量与被解释变量(供应链多元化)的因果关联并非理论上的直接显性关联,且需充分验证二者间因果关系的有效性以完善机制链条,本文进一步构建中介变量对被解释变量的因果识别模型,具体形式如式(3)所示:
(3)
公式(2)、(3)中,Mipt为中介变量,包括技术进步和融资成本。其中,企业技术进步采用全要素生产率衡量;融资成本参考申明浩和谭伟杰(2023)的做法,使用应付利息/(长期贷款+短期贷款)×2衡量。该值越大,说明企业面临的债务融资成本越高。其余变量测度与基准模型(1) 一致。该部分实证结果汇报于表8和9。
表8汇报了外资进入的技术进步效应结果,前三列采用ACF方法测度的企业全要素生产率作为被解释变量。主要是因为 Ackerberg等(2015)的做法优化了要素投入的动态决策假设,通过区分 “可变要素(劳动力、中间投入等)的即时调整”与“固定要素(资本等)的滞后调整”,修正了 LP方法中“可能存在的要素投入识别偏误”,尤其适用于要素调整存在显著时滞的制造业企业TFP 测算。在控制各固定效应,逐步加入控制变量后,发现policy的估计系数均为正,且通过了1%显著性水平,表明外资进入有助于提高企业技术进步。第(4)列和第(5)列分别采用LP方法①测度的企业全要素生产率和研发投入作为替代性指标进行稳健性检验,核心解释变量policy的估计系数均显著为正,与表8第(1)~(3)的实证结论相一致,再次验证了外资进入有助于提高企业技术进步这一结论的稳健性。进一步地,第(6)列检验了中介变量企业研发投入对企业供应链多元化的影响,发现其估计系数为-0.0240,且通过了5%显著性水平,说明外资进入带来的技术溢出效应对企业供应链多元化具有促进作用。这是因为,技术水平是提高国际竞争力、扩大供应链网络的基础,可以促使企业更有效地管理和优化全球供应链,利用不同地区的资源和优势,拓展市场覆盖范围,增加供应链的多样化,从而验证了假说2的合理性。
表8技术进步效应
注:表中()内为稳健标准误,均聚类到地区层面。
表9汇报了外资进入的融资成本效应结果,其被解释变量为债务融资成本。本文采用逐步加入控制变量法进行回归,通过观察发现,核心解释变量policy的估计系数均显著为负。以第(4)列完整结果为例,policy的估计系数为-4.4808,且通过了5%显著性水平,表明外资进入降低了企业债务融资成本。进一步地,对公式(3)进行回归,发现融资成本的估计系数为0.6349,并在10%的统计性水平上显著,说明融资成本越高,企业供应链集中度越高,即融资成本抑制了企业的供应链多元化水平。结合前4列数据,可以得出,外资进入通过降低企业债务融资成本对企业供应链多元化具有促进作用。这主要是因为,一方面,融资成本的降低会促使企业以更低的成本进入国际市场,进而拓展全球供应链。另一方面,融资成本低的企业在新产品开发方面更具竞争力,可以提供多样化的产品和服务,从而推动客户多元化;为与之匹配,企业供应链需具备相应的多元供应能力,这一需求进一步推动供应链上游环节的多元化。进一步验证了假说3的合理性。
表9融资成本效应
注:表中()内为稳健标准误,均聚类到地区层面。
六、 异质性检验
在上述部分,本文基于全样本视角考察了外资进入与企业供应链多元化的关系。值得注意的是,在不同企业属性差异下,外资进入可能对企业供应链多元化产生不同的效果,对这类情况进行分析可能更具有现实意义。本部分将从企业供应链环节、企业规模、企业所在地理位置、企业生产率、行业类别以及地区市场分割程度六个维度展开异质性分析,具体内容如下。
(一) 企业供应链环节的异质性
传统的“异质性检验”多指同一效应在不同企业特征(如规模、行业、地区)下的差异。考虑到供应链多元化的多维度属性,本文将其拆解为上游供应商多元化与下游客户多元化两个子维度,进而将外资进入对二者的影响差异定义为“按供应链环节划分的异质性分析”。为探究外资进入对供应链多元化的促进作用更多体现在上游环节还是下游环节,本文使用供应商集中度作为供应链上游环节多元化的衡量指标,使用客户集中度作为衡量供应链下游环节多元化的衡量指标,并分别将其作为被解释变量考察外资进入对两者的差异化影响,表10第(1)、(2)列汇报了该部分的实证结果。通过观察可以发现,核心解释变量policy的估计系数分别为-0.8298和-0.5331,前者通过了 1%显著性水平,后者通过了5%显著性水平,这说明外资进入对供应链上下游环节多元化均具有显著的促进作用,但对上游环节的影响更显著。外资进入促进了市场开放和竞争,推动了上游供应商提高产品质量和技术水平。这种竞争压力促使更多高质量的供应商进入市场,从而增加了供应商的多样性。另外,外资企业通常拥有全球化的供应链网络,这些全球供应链网络的引入使得国内企业可以接触到更多上游国外供应商,从而增加了上游环节的多元化。
表10异质性检验
注:表中()内为稳健标准误,均聚类到地区层面。
(二) 企业规模的异质性
外资进入对不同规模企业供应链多元化可能具有不同的影响。为此,本文在该部分主要对比分析外资进入对大规模企业和小规模企业供应链多元化的异质性影响。首先,将样本按照企业规模进行划分:若企业规模大于其样本中位数,则称为大规模企业;若企业规模小于其样本中位数,则称为小规模企业。其次,将两组样本虚拟变量分别与核心解释变量policy相乘,得到交互项 policy×hsize和policy×lsize,其实证结果汇报于表10第(3)列。观察发现,交互项policy×hsize和 policy×lsize的估计系数分别为-0.6794和-0.7186,且均通过了1%显著性水平。这表明,外资进入对两种规模企业供应链多元化均具有促进作用,且对小规模企业的影响程度相对更大。可能的原因是:外资企业进入为小规模企业提供了更多的市场机会。通过与外资企业的合作,小规模企业可以进入国际市场,扩大市场份额,从而增加了供应链多元化。此外,外资企业进入加剧了市场的开放和竞争,推动了小规模企业提高产品质量和技术水平。这种竞争压力促使更多高质量的供应商进入市场,从而增加供应链的多样性。
(三) 企业生产率水平的异质性
考虑到外资的进入可能对具有不同生产率水平的企业供应链配置决策产生不同影响,本文进一步区分企业的生产率水平。首先,根据企业生产率水平将样本进行划分,高于生产率中位数的一组称为高生产率企业样本(htfp=1),低于生产率中位数的一组称为低生产率企业样本(ltfp=1)。然后,将核心解释变量policy分别与两虚拟变量htfp和ltfp相乘,得到交互项policy×htfp和policy×ltfp,其实证结果汇报在表10第(4)列。通过观察可以发现,交互项policy×htfp和policy×ltfp的估计系数分别为-0.6905和-0.7130,且均通过了1%显著性水平,这说明外资进入对高生产率企业和低生产率企业供应链多元化均具有显著的促进的作用,但对低生产率企业的促进作用更大。这是因为:外资企业通常在全球范围内拥有广泛的市场网络和成熟的销售渠道,这使得他们能够为低生产率企业提供宝贵的市场准入机会。对于低生产率企业而言,由于自身资源有限、品牌知名度较低以及市场开拓能力不足,往往难以独立进入新的市场或拓展销售渠道。然而,通过与外资企业合作,低生产率企业可以借助外资企业的市场资源和渠道网络,快速进入国内外新市场。
(四) 地区的异质性
由于不同地区的自然条件、经济基础、市场环境、政策支持等因素存在差异,外资进入对不同地区企业供应链多元化可能存在差异。随着“一带一路”倡议的持续推进,中部地区吸引外资的能力有所增强。西部地区虽然也推出了一些吸引外资的政策,但由于经济基础薄弱,基础设施建设也较为欠缺,因此对高质量外资的吸引力仍然有限。
具体地,本文将样本区分为东部地区和中西部地区,分别探究外资进入对东部地区企业和中西部地区企业供应链多元化的差异化影响,相应实证结果汇报在表10第(5)列。通过观察发现,外资进入对东部地区企业供应链多元化的影响系数为-0.6823,在1%统计性水平上显著;外资进入对中西部地区企业供应链多元化的影响系数为-0.3577,通过了5%显著性水平,且其估计系数绝对值不及前者,这说明外资进入对东部地区和中西部地区企业供应链多元化均具有显著促进作用,但相比中西部地区,东部地区企业供应链多元化水平提高幅度更大。这是因为:其一,东部地区对外开放程度高,政策环境宽松,各级政府出台了一系列吸引外资的优惠政策,降低了外资企业的运营成本,吸引了大量外资企业进入。其二,外资企业进入带来了先进的技术和管理经验,而东部地区企业的技术吸收能力更强,更有助于其自身技术水平和管理能力提升,进而提高供应链的多元化。
(五) 行业类别的异质性检验
由于外资准入负面清单对不同行业的开放程度有所不同,因此其政策实施引致的外资进入对所在行业企业供应链多元化的影响也会存在差异。该部分将区分不同行业类别,将样本划分为制造业行业(manu=1)和其他行业(nmanu=1),分别将其与核心解释变量相乘得到交互项policy×manu 和policy×nmanu,以对比外资进入对不同行业企业供应链多元化的异质性影响,相应结果汇报于表10第(6)列。通过观察可以发现,交互项policy×manu和policy×nmanu的估计系数均显著为负,且前者估计系数的绝对值略大于后者,这说明外资进入对不同行业企业供应链多元化水平均具有显著的促进作用,但对制造业行业企业的影响更大。这是因为:首先,制造业供应链具有多层级、长链条特征,外资嵌入往往通过技术溢出倒逼本土配套体系升级。其次,制造业技术迭代需资本持续投入,外资通过“技术换市场”模式加速供应链横向拓展。再者,政策引导聚焦“强链补链”,《鼓励外商投资产业目录》将72.3%的条目集中于先进制造领域,通过税收优惠等工具引导外资投向集成电路设备等关键环节,直接拉动相关领域供应商HHI指数下降0.18。非制造业方面,其供应链结构扁平化且依赖渠道资源,如零售业外资更侧重市场渗透而非供应链重塑;同时,服务业外资集中于管理标准输出(如咨询行业),对实体供应链节点拓展作用有限,且政策壁垒较高领域(如金融)外资准入仍受限制,导致多元化效应难以显现。这种结构性差异使得外资成为制造业供应链升级的关键推力,而在非制造业则更多表现为市场结构优化而非供应链网络重构。
(六) 地区市场分割程度的异质性检验
尽管改革开放以来,中国经济取得了显著发展,市场化程度不断提高,但市场分割问题并未完全消除。市场分割主要表现为地区之间、行业之间以及不同所有制企业之间的壁垒,阻碍了资源、商品和服务的自由流动。地区性市场分割是我国市场分割的主要表现形式之一。由于地方保护主义的存在,一些地方政府为了维护本地经济利益,会通过行政手段限制外地商品进入本地市场,或者优先支持本地企业。本文进一步探究外资利用对不同市场分割程度地区企业供应链配置多元化水平的影响。首先,根据市场整合指数中位数划分样本,若高于其中位数,则该地区市场化程度越高(市场分割越低),此时hins取值为1,否则hins取值为0;若低于其中位数,则该地区市场化程度越低(市场分割越高),此时lins取值为1,否则lins取值为0。将两虚拟变量分别与核心解释变量相乘得到交互项policy×hins和policy×lins,相应实证结果汇报在表10第(7)列。观察发现,交互项 policy×hins和policy×lins的估计系数均显著为负,但前者估计系数绝对值大于后者,这表明外资进入对不同市场环境企业供应链多元化均具有显著促进作用,但更有利于促进高市场化水平企业的供应链多元化程度。其可能的原因在于:外资进入促进企业供应链多元化的主要原因在于其带来的技术溢出、管理经验共享及资源整合效应,而高市场化水平企业受益更显著的原因在于其更完善的制度环境与资源基础。首先,外资通过引入国际先进技术和管理模式,推动本土企业优化供应链结构并拓展多元合作伙伴。其次,高市场化地区具备更成熟的法治环境、高效的要素配置能力以及较强的创新能力,能更高效地承接外资的技术转移,并利用本地产业集群优势加速供应链网络重构。此外,高市场化企业通常拥有更强的数字化基础设施和绿色技术储备,能够快速响应外资对低碳化、智能化供应链的需求,从而在多元化布局中占据先机。相比之下,低市场化企业受限于制度壁垒和资源分散性,对外资技术溢出的吸收效率较低,导致供应链多元化提升幅度相对有限。
七、 结论与启示
本文研究表明,外资准入负面清单管理制度作为我国深化对外开放的重要举措,显著促进了企业供应链多元化水平的提升。外资进入通过提升企业技术能力和降低融资成本两条核心机制,增强了企业在供应链布局中的灵活性和抗风险能力,从而有效推动了上游供应商与下游客户网络的多元化。异质性分析进一步显示,这一效应对制造业企业、小型企业、东部地区以及高市场化水平地区的企业影响更为突出,尤其在供应链上游环节表现显著。
基于研究结论,本文提出如下政策启示:第一,持续推进外资准入制度型开放,实施差异化的外资引导政策。建议在全面实施外资准入负面清单的基础上,结合地区与行业发展特点,制定更具针对性的外资促进策略。例如,对中西部地区和中小规模企业可进一步放宽外资准入领域,配套提供技术合作与融资支持,最大化发挥外资的技术溢出与资本补充效应。第二,强化外资事中事后监管与服务体系建设。在“准入”放开的同时,需着力消除准营环节的隐性壁垒。建议进一步简化外资企业设立后的变更登记、跨境资金流动、人员签证等审批流程,推广跨部门“一站式”服务平台,构建稳定、透明、可预期的全周期营商环境。第三,突出产业政策与外资政策的协同,增强供应链韧性。鼓励外资参与制造业关键环节供应链重构,特别是在高端装备、信息技术、新能源等战略领域,通过税收优惠、研发补贴等方式引导外资投向技术密集和供应链短板领域,支持国内企业嵌入多元化国际生产网络。第四,完善外资企业的法治与知识产权保护环境。推动建立与国际高标准经贸规则相接轨的监管框架,加强对商业秘密、专利技术的执法保护,提升外资企业与国内供应链伙伴合作的信心,持续促进知识溢出和供应链协同创新。通过以上措施,不仅可以进一步优化外资在华发展的制度环境,更能够通过高质量外资推动我国企业深度融入全球供应链体系,实现高水平开放与产业链安全韧性互促共进。
① 借鉴审稿专家的宝贵意见,本文进一步对交叠DID平行趋势采取剔除组别方式进行检验。
② 将负面清单管理模式试点前5年及以上年份统称为前5年(t_5),将负面清单管理模式试点后5年及以上年份统称为后5年(t5)。
③ 关于地区层面新进外资企业数量的数据,其来源于国家企业信息公示系统(官方网址:http://www .gsxt .gov .cn/),该系统由国务院有关部门负责运营,依法公示全国企业的注册登记、许可审批、年度报告等信息。本文所需的外资企业注册信息通过该系统的公开检索功能获取,并按注册地与成立时间汇总至地级市层面。由于该系统的历史数据检索需通过企业名称、注册号等条件查询,且部分信息需注册验证后才能查看,本文在研究过程中结合了第三方平台(如企查查、天眼查)的标准化数据作为补充,以确保统计口径的一致性与数据完整性。
④ 地级市外商直接投资流量数据来自各地级市统计局发布的统计年鉴、年度国民经济和社会发展统计公报。
① 参考Levinsohn和Petrin(2003)的做法,以中间投入作为代理变量,解决传统OLS估计中“企业生产率冲击与要素投入决策相关” 的内生性问题。其核心逻辑是,中间投入对生产率冲击的反应更灵敏且决策时滞更短,能更精准地捕捉不可观测的生产率变化,进而得到一致的生产函数参数估计,最终测算TFP。